EasyManua.ls Logo

Allen-Bradley 1734-IE4S - Page 188

Allen-Bradley 1734-IE4S
235 pages
To Next Page IconTo Next Page
To Next Page IconTo Next Page
To Previous Page IconTo Previous Page
To Previous Page IconTo Previous Page
Loading...
188 Rockwell Automation Publication 1734-UM013N-EN-P - September 2017
Appendix C Specifications
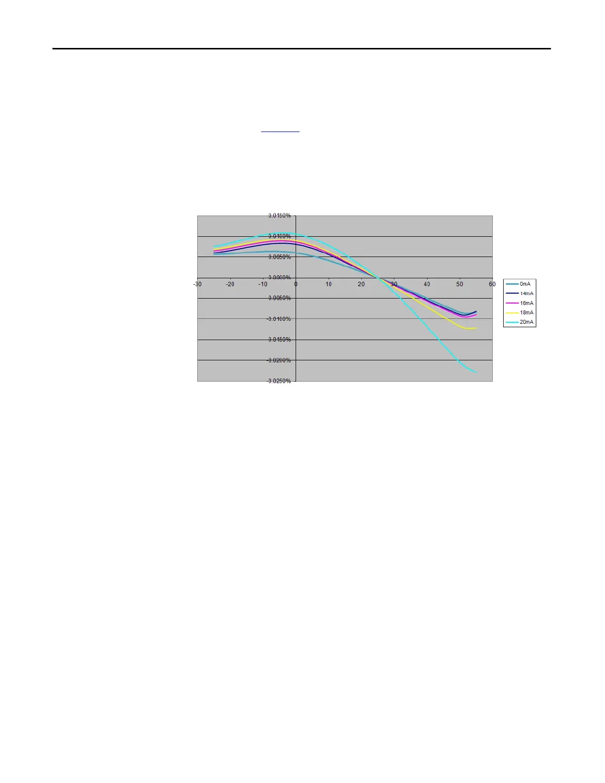
Drift and Temperature
In Current mode, the accuracy drift of the 1734-IE4S module is very dependent
on the temperature of the module and the amount of current being measured. As
shown in Figure 62
below, the drift of the module increases greatly when currents
above 16 mA are measured. To help preserve the accuracy of the1734-IE4S
module in Current mode, choose a sensor for your application that can operate in
the middle of its range and not at the outer limits.
Figure 62 - Accuracy Drift vs. Temperature (Current mode)
Temperature (°C)
Drift (%/°C)

Table of Contents

Related product manuals