EasyManua.ls Logo

Allen-Bradley PowerFlex 70 Enhanced Control - Page 69

Allen-Bradley PowerFlex 70 Enhanced Control
170 pages
Print Icon
To Next Page IconTo Next Page
To Next Page IconTo Next Page
To Previous Page IconTo Previous Page
To Previous Page IconTo Previous Page
Loading...
Position Indexer/Speed Profiler 65
Disable Homing Requirement – If a home position is not required, the routine can
be disabled by clearing [Alarm Config 1] bit 17 “Prof SetHome” to “0.” This will
disable the alarm from being set when “Pos/Spd Prof” mode is configured in
[Speed/Torque Mod] and will set the present position as home.
Once Homing is complete the “Find Home” command must be removed to allow
the profile to be run. If the “Find Home” command is not removed, when the drive
is started, the routine will see that it is At Home and the drive will stop.
Velocity Regulator Step Types
End – The drive ramps to zero speed and stops the profile. It clears the current step
bits and sets the Complete bit (14) in [Profile Status], parameter 700 word.
Time
– When started, the drive will ramp to the desired velocity, hold the speed,
and then ramp to zero in the programmed time for the given step.
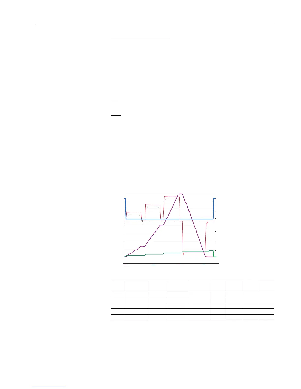
The example below shows a five step profile. The first 3 are Time steps followed an
Encoder Abs step to zero then an End step. For each Time step the drive ramps at
[Step X AccelTime] to [Step X Velocity] in the direction of the sign of [Step X
Velocity]. The drive then decelerates at [Step X DecelTime] to zero. The [Step X
Value] is programmed to the desired time for the total time of the accel, run and
decel of the step. Each step has a 1 second time programmed in [Step X Dwell]
which is applied to the end of each step. After the dwell time expires, the profile
transitions to the next step. The absolute step is used to send the profile back to the
home position. This is done by programming [Step 4 Value] to zero.
Timed Steps
Step # Step X Type
Step X
Velocity
Step X
AccelTime
Step X
DecelTime
Step X
Value
Step X
Dwell
Step X
Batch
Step X
Next
1 Time 100 0.5 0.5 5.00 1.00 1 2
2 Time 200 0.5 0.5 5.00 1.00 1 3
3 Time 300 0.5 0.5 5.00 1.00 1 4
4 Encoder Abs 400 0.5 0.5 0.00 1.00 1 5
5 End N/A N/A 0.5 N/A 0.00 N/A N/A
5s
5s
5s
Step 1
Step 2
Step 3
Time
Step 4
Step 5
-450
-150
-250
-350
50
-50
150
250
350
0
25
20
15
10
5
35
30
40
45
50
33
Note: there is no "At Position"
indication when using timed steps
53 73 93 153113 133
13
[Encoder Speed], 415 [Units Traveled], 701 Current Step[Profile Status], 700
Encoder Speed
Units Traveled
Profile Status (Scaled)
Current Step

Related product manuals