EasyManua.ls Logo

Ambit PIB v1.5 - Page 64

Ambit PIB v1.5
72 pages
Print Icon
To Next Page IconTo Next Page
To Next Page IconTo Next Page
To Previous Page IconTo Previous Page
To Previous Page IconTo Previous Page
Loading...
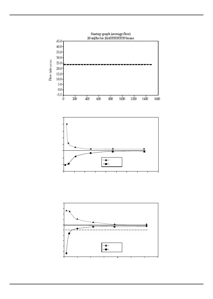
Section 10 • Delivery Rate Accuracy
60
EPMax
EP Min
0 2 4 6 8 10 12 14 16 18
Observation window (min)
25.0
20.0
15.0
10.0
5.0
0.0
-5.0
-10.0
-15.0
%error
20ml/hrowrate
45.0
40.0
35.0
30.0
25.0
20.0
15.0
10.0
5.0
0.0
-5.0
Flow rate (ml/hr)
0 5 10 15 20 25 30 35
20ml/hr+100mmHgbackpressure
EPMax
EP Min
Observation window (min)

Table of Contents

Related product manuals