EasyManua.ls Logo

Apple Keynote - Formatting Charts

Apple Keynote
100 pages
Print Icon
To Next Page IconTo Next Page
To Next Page IconTo Next Page
To Previous Page IconTo Previous Page
To Previous Page IconTo Previous Page
Loading...
64 Chapter 6
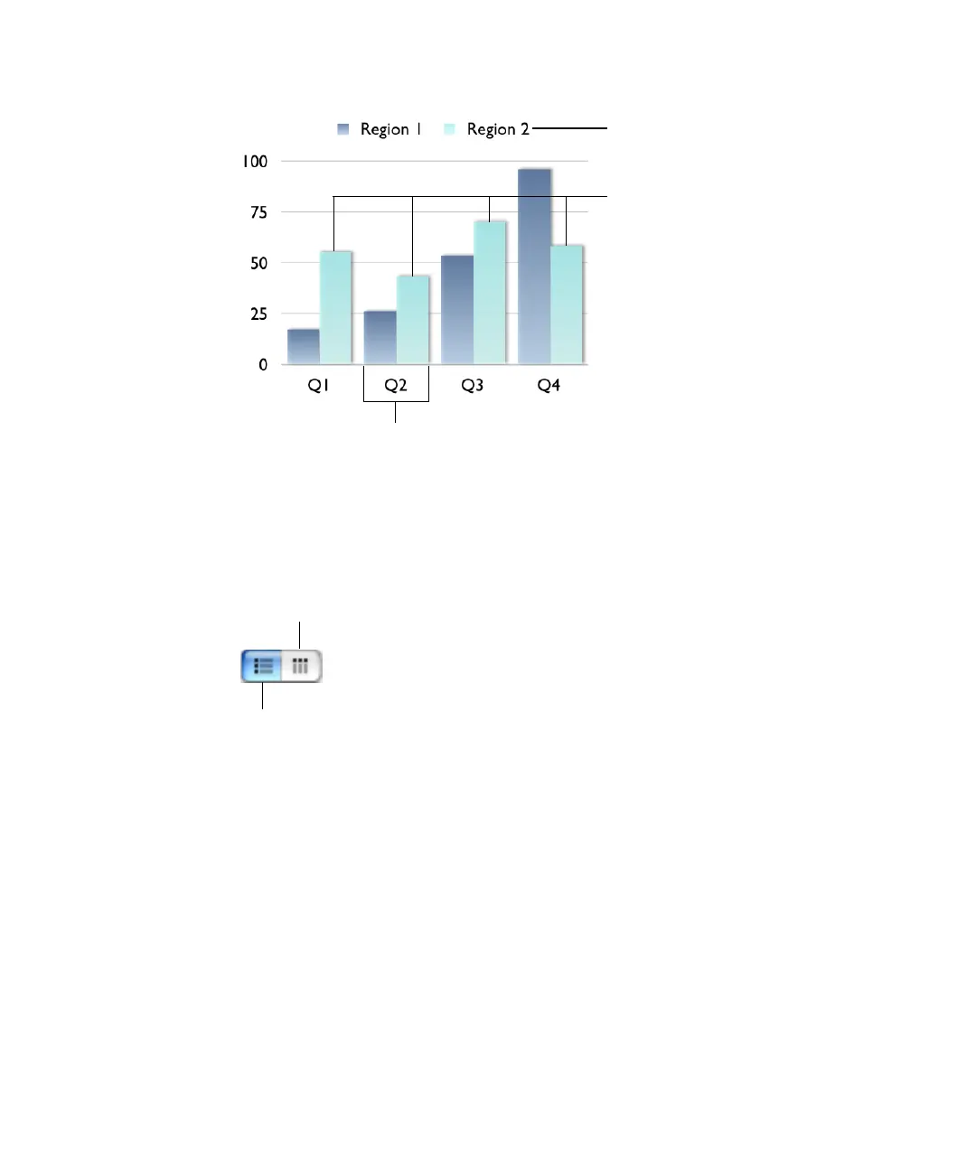
The illustration below shows how this data would appear when plotted as a column chart.
In this chart, the data series are represented by rows in the Chart Data Editor. The data
points are represented as a series of dark-colored bars and a series of light-colored bars.
You can quickly transpose the data series and data sets in your charts by using the Plot Row
vs. Column button in the Chart Inspector.
The data sets contain one data point
(one bar) from each of the data series.
These four bars represent
one data series.
The chart legend denotes
the two data series.
This button makes the columns of data
in the Chart Data Editor the data series.
This button makes the rows of data in the
Chart Data Editor the data series.

Table of Contents

Related product manuals