EasyManua.ls Logo

Atlantic WOYA080KLT - Page 10

Atlantic WOYA080KLT
84 pages
Print Icon
To Next Page IconTo Next Page
To Next Page IconTo Next Page
To Previous Page IconTo Previous Page
To Previous Page IconTo Previous Page
Loading...
- 10 -
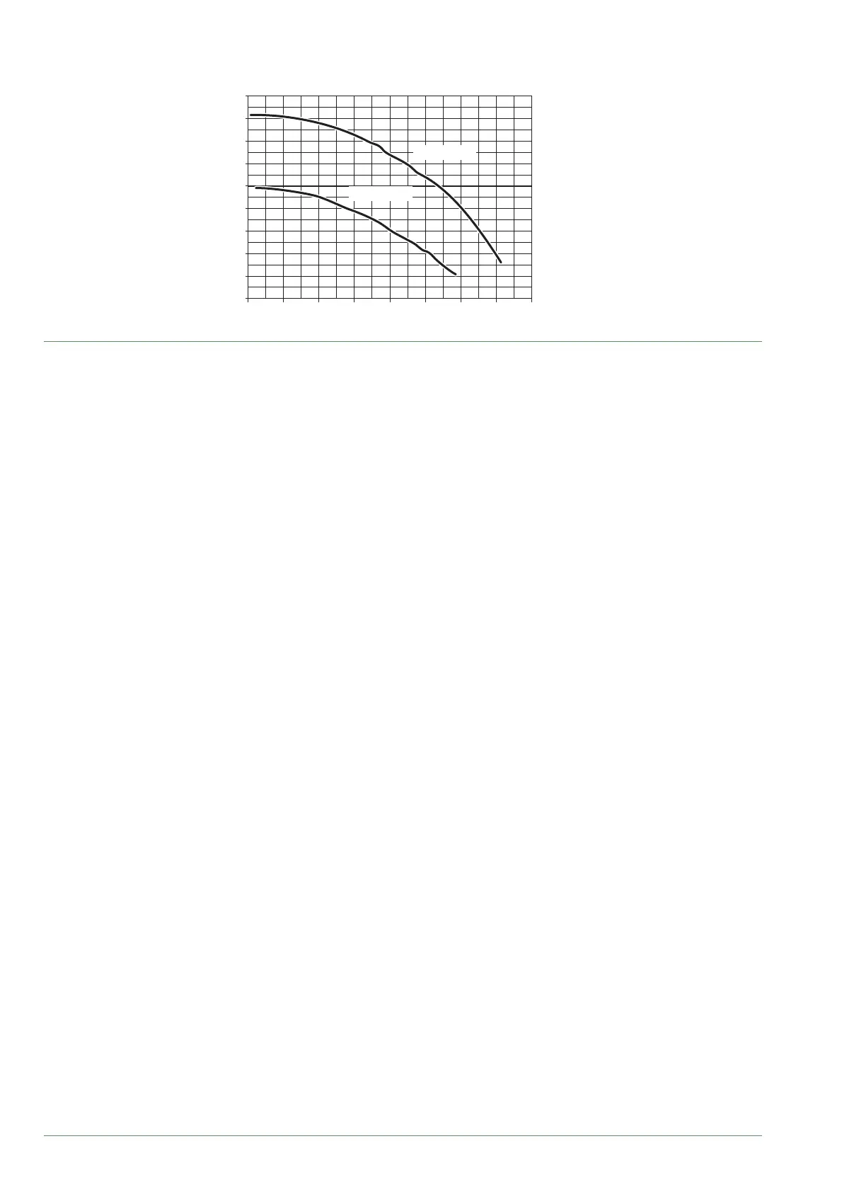
g. 4 - Available hydraulic pressures and ow rates (models 5, 6 and 8)
Alfea Extensa A.I. R32 / INSTALLATION / 2114 - EN
0
0
1
2
3
4
5
6
7
8
9
0.2 0.4 0.6 0.8 1 1.2 1.4 1.6
m
3
/h
mCE (1 mbar = 10 mmCE = 100 Pa)
PWM 75%
PWM 100%

Table of Contents

Other manuals for Atlantic WOYA080KLT

Related product manuals