EasyManua.ls Logo

Bitzer HS.85 - Die Besonderen Attribute

Bitzer HS.85
100 pages
Print Icon
To Next Page IconTo Next Page
To Next Page IconTo Next Page
To Previous Page IconTo Previous Page
To Previous Page IconTo Previous Page
Loading...
3SH-110-2
Halbhermetische Schrauben-
Verdichter HS.85-Serie
Fördervolumina von 315 bis 410 m
3
/h
bei 50 Hz
1 Die besonderen Attribute
Die HS.85 Schraubenverdichter set-
zen weltweit den Maßstab für techni-
sche Innovation und Effizienz.
Kombination von bewährter HS-
Technologie mit den innovativen
Merkmalen der CSH-Baureihe
Optimal für Parallelverbund
Hohe Systemleistung
Platzsparende Anordnung aller
Anschlüsse auf einer Seite
Schieberregelung für stufenlose
oder stufige Leistungsregelung
Economiser mit gleitender Ein-
saugposition – auch bei Teillast
effektiv
Integriertes Ölmanagement-System
Automatisches Ölstopp-Ventil
Ölfilter
Ölüberwachung
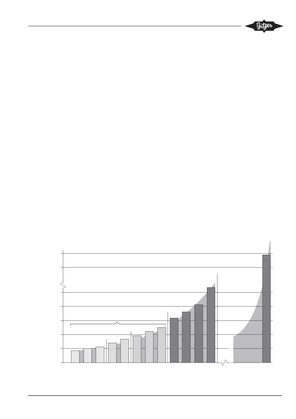
Die Leistungspalette
Semi-hermetic Screw Compressors
HS.85 Series
Displacements from 315 to 410 m
3
/h
at 50 Hz
1 The special highlights
The HS.85 screw compressors set the
worldwide standard for technical inno-
vation and efficiency.
Combination of approved HS tech-
nology with the innovative features
of the CSH series
Optimised for parallel compounding
High system capacity
Space saving arrangement of all
connections on one side
Slider control for infinite or stepped
capacity control
Economiser with sliding suction
position – also effective at part load
Integrated oil management system
Automatic oil stop valve
Oil filter
Oil monitoring
The capacity range
Compresseurs à vis
hermétiques accessibles série HS.85
Volumes balayés de 315 à 410 m
3
/h
(50 Hz)
1 Les atouts particuliers
Les compresseurs à vis HS.85 établis-
sent les critères de référence universelle
de l'innovation technique, et de l'efficacité.
Combinaison de la technologie éprou-
vée de la série HS avec les caractéris-
tiques innovatrices de la série CSH
Optimalisé pour travail en parallèle
Puissance élevée du système
Disposition de tous les raccords sur un
côté, nécessitant peu de place
Régulation de puissance en continue
ou étagée avec tiroir
Economiseur avec point d'aspiration
glissant – aussi efficace en charge
partielle
Système de gestion d'huile intégré
Vanne de retenue d’huile automatique
Filtre à l'huile
Contrôle du circuit d'huile
La gamme de puissance
H S . 5 3 5 3
H S . 5 3 4 3
H S . 6 4 5 1
H S . 5 3 6 3
H S . 6 4 6 1
H S . 7 4 7 1
H S . 7 4 5 1
H S . 7 4 6 1
H S . 8 5 5 1
H S . 8 5 6 1
H S . 8 5 7 1
0
4 0 0
1 0 0
m
3
/ h
F ö r d e r v o l u m i n a
D i s p l a c e m e n t s ( 5 0 H z )
V o l u m e s b a l a y é s
2 0 0
5 0 0
2 0 0 0
2 5 0 0
H S . 8 5 7 1
6 x
3 0 0
s i e h e S H - 1 0 0
H S . 8 5 9 1

Related product manuals