EasyManua.ls Logo

Bowflex Max Total 16/40 - Noises - Metallic Grinding or Scraping

Bowflex Max Total 16/40
151 pages
Print Icon
To Next Page IconTo Next Page
To Next Page IconTo Next Page
To Previous Page IconTo Previous Page
To Previous Page IconTo Previous Page
Loading...
19
NO
Adjust magnets so
they stop making
contact. Issue
resolved.
Can the
magnets be adjusted
so they don’t touch the
brake disc?
YES
YES
Replace the Brake
Assembly
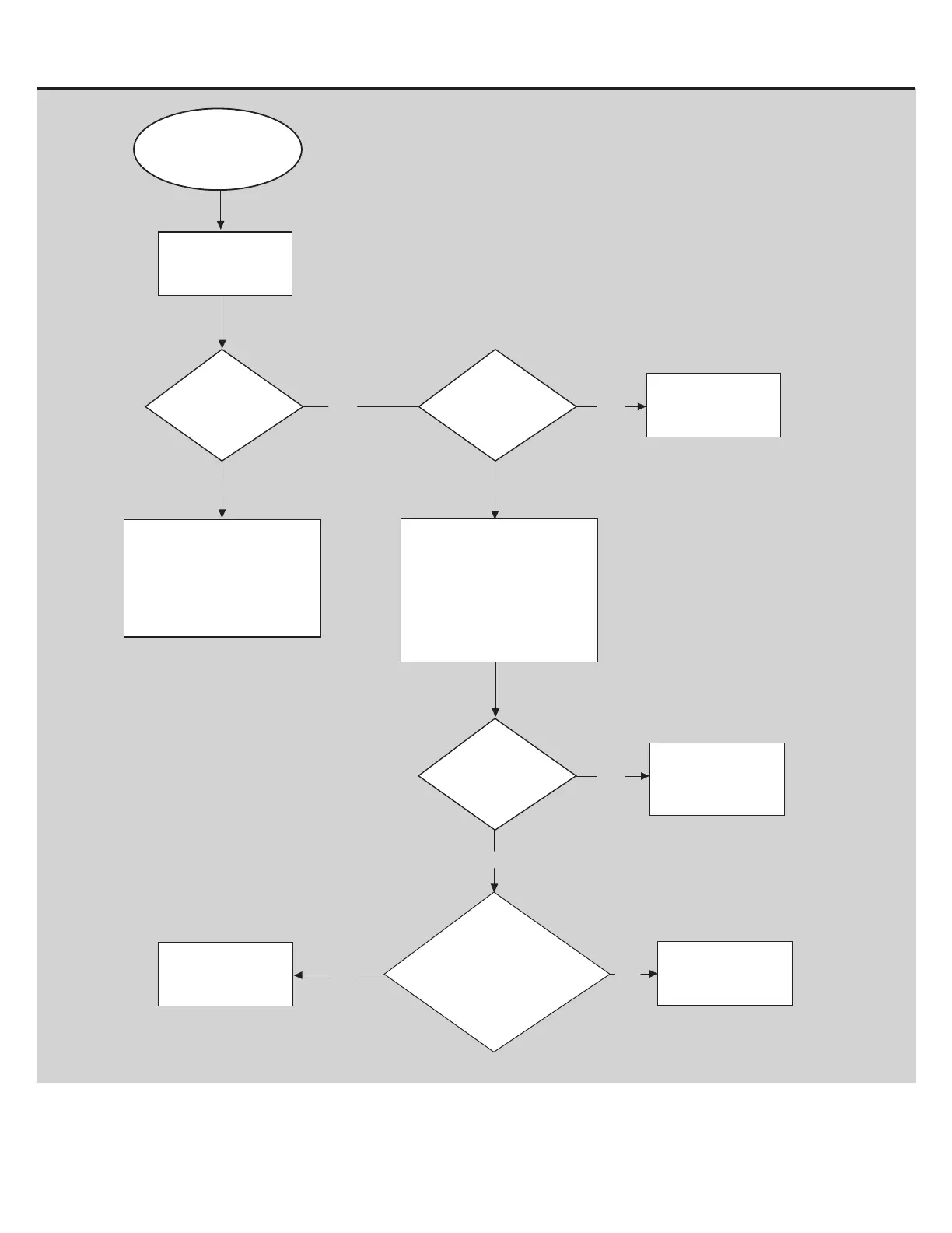
Noise Issues - Metallic Grinding or Scraping
BEGIN HERE
Are the magnets
making contact with
the metallic brake
disc?
YES
NO
Carefully operate machine and
attempt to locate the source of
the noise.
Contact Customer Care for
Advanced Troubleshooting.
Follow the “Adjust the Brake
Assembly” procedure.
Note: It is normal for the brake
disc to appear to “wobble”, as
long as it does not contact the
magnets while spinning.
Have the
magnets broken off the
red plastic arm?
YES
NO
Replace the Brake
Assembly and Brake
Disc.
Replace Machine
Engine
NO
Is the brake disc visibly
forced away from the frame
in such a way that it is
causing the contact with the
magnets?
Remove the user right
side lower round cover
(4 screws).

Related product manuals