EasyManua.ls Logo

Brady BBP81 - Sensor Profile

Brady BBP81
130 pages
Print Icon
To Next Page IconTo Next Page
To Next Page IconTo Next Page
To Previous Page IconTo Previous Page
To Previous Page IconTo Previous Page
Loading...
107
Troubleshooting
Printer Diagnostics
5/13/08 BBP81 User Manual Y882746
Sensor Profile
Use the sensor profile label to troubleshoot the following types of problems:
If the media sensor experiences difficulty in determining gaps (web) between labels.
If the media sensor incorrectly identifies preprinted areas on a label as gaps (web).
If the ribbon sensor cannot detect ribbon.
For instructions on printing a sensor profile, see Print Sensor Profile on page 66. If the
sensitivity of the sensors must be adjusted, perform Calibrate Media and Ribbon Sensor
Sensitivity on page 55.
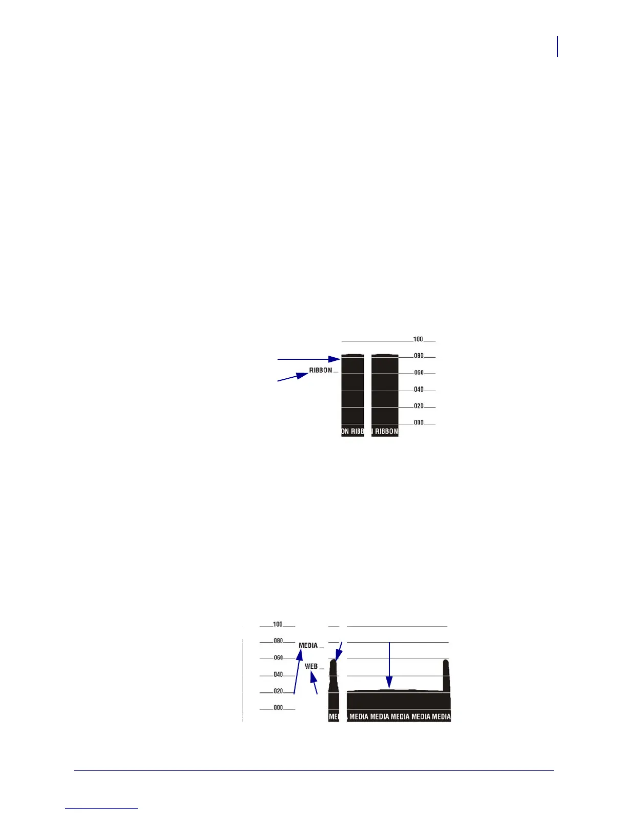
Ribbon Sensor Profile (Figure 22) The bars (
1) on the sensor profile indicate the ribbon
sensor readings. The ribbon sensor threshold setting is indicated by the word
RIBBON (2). If
the ribbon readings are below the threshold value, the printer does not acknowledge that
ribbon is loaded.
Figure 22 • Sensor Profile (Ribbon Section)
Media Sensor Profile (Figure 23) The media sensor readings are shown as bars and flat
areas on the sensor profile. The bars (
1) indicate gaps between labels (the web), and the low
areas (
2) indicate where labels are located. If you compare the sensor profile printout to a
blank length of your media, the bars should be the same distance apart as the gaps on the
media. If the distances are not the same, the printer may be having difficulty determining
where the gaps are located.
The media sensor threshold settings are shown by the words
MEDIA (3) for the media
threshold and
WEB (4) for the web threshold. Use the numbers to the left of the sensor
readings to compare the numeric readings to the sensor settings.
Figure 23 • Sensor Profile (Media Section)
1
2
21
3 4

Table of Contents

Related product manuals