EasyManua.ls Logo

Burnham FREEDOM - Standard Piping Installation Requirements

Burnham FREEDOM
88 pages
Print Icon
To Next Page IconTo Next Page
To Next Page IconTo Next Page
To Previous Page IconTo Previous Page
To Previous Page IconTo Previous Page
Loading...
51
C: Standard Piping Installation Requirements
Observethefollowingguidelineswhenmakingtheactualinstallationoftheboilerpiping:
1) ThereliefvalveispackagedloosewiththeboilerandmustbeinstalledinthelocationshowninFigure2.1.Therelief
valveissettoopenat30psi.Ifthevalveisreplaced,thereplacementmusthaveareliefcapacityinexcessoftheDOE
heatingcapacityfortheboiler.Pipethedischargeofthereliefvalvetoalocationwherewaterorsteamwillnotcreatea
hazardorcausepropertydamageifthevalveopens.Theendofthedischargepipemustterminateinanunthreadedpipe.
Ifthereliefvalvedischargeisnotpipedtoadrain,itmustterminateatleast6inchesabovetheoor.Donotrunrelief
valvedischargepipingthroughanareathatispronetofreezing.Theterminationofthereliefvalvedischargepipingmust
beinanareawhereitisnotlikelytobecomepluggedbydebris.
DANGER
PIPE RELIEF VALVE DISCHARGE TO A SAFE LOCATION.
DO NOT INSTALL A VALVE IN THE RELIEF VALVE DISCHARGE LINE.
DO NOT INSTALL RELIEF VALVE IN A LOCATION OTHER THAN THAT SPECIFIED BY THE
FACTORY.
DO NOT PLUG THE RELIEF VALVE DISCHARGE.
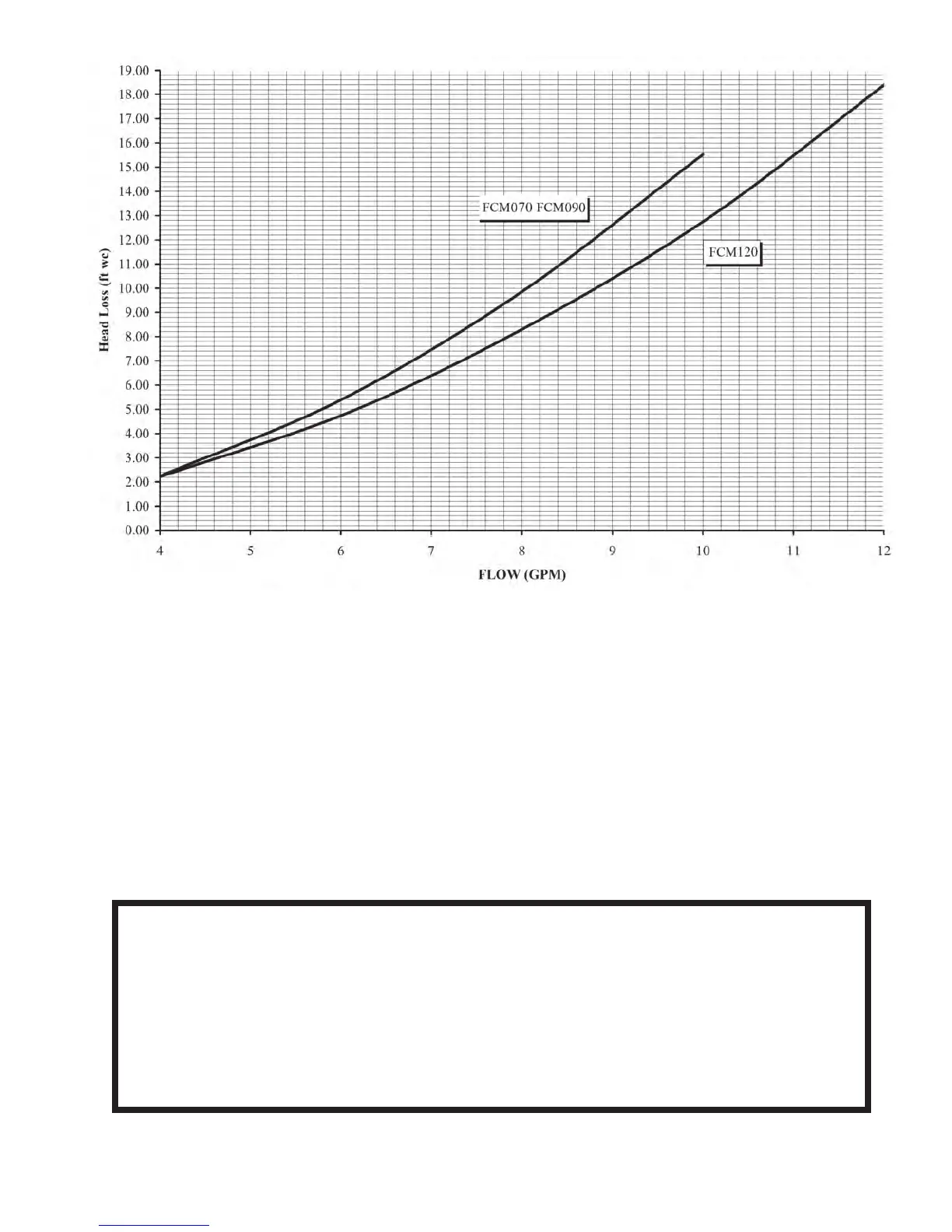
Figure 9.9: Boiler Head Loss