EasyManua.ls Logo

Cisco 8865 - Cisco IP Phone 8851 and 8851 NR

Cisco 8865
207 pages
To Next Page IconTo Next Page
To Next Page IconTo Next Page
To Previous Page IconTo Previous Page
To Previous Page IconTo Previous Page
Loading...
Cisco IP Phone 8861 and 8865 Wireless LAN Deployment Guide
26
Need to ensure that DSCP values are preserved throughout the wired network, so that the WMM UP tag for voice,
video, and call control frames can be set correctly.
Beamforming
If using Cisco 802.11n capable access points, then Beamforming (ClientLink) should be enabled, which can help with
client reception.
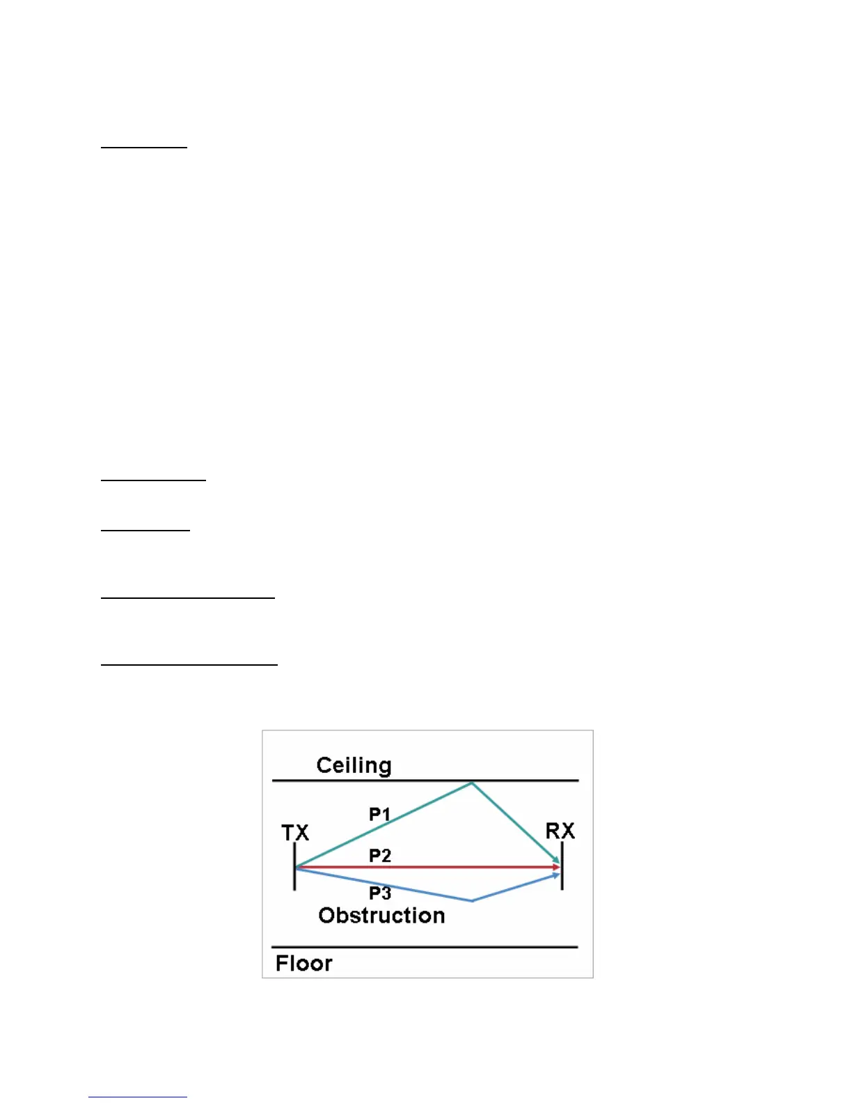
Multipath
Multipath occurs when RF signals take multiple paths from a source to a destination.
A part of the signal goes to the destination while another part bounces off an obstruction, then goes on to the destination. As a
result, part of the signal encounters delay and travels a longer path to the destination, which creates signal energy loss.
When the different waveforms combine, they cause distortion and affect the decoding capability of the receiver, as the signal
quality is poor.
Multipath can exist in environments where there are reflective surfaces (e.g. metal, glass, etc.). Avoid mounting access points
on these surfaces.
Below is a list of multipath effects:
Data Corruption
Occurs when multipath is so severe that the receiver is unable to detect the transmitted information.
Signal Nulling
Occurs when the reflected waves arrive exactly out of phase with the main signal and cancel the main signal
completely.
Increased Signal Amplitude
Occurs when the reflected waves arrive in phase with the main signal and add on to the main signal thereby increasing
the signal strength.
Decreased Signal Amplitude
Occurs when the reflected waves arrive out of phase to some extent with the main signal thereby reducing the signal
amplitude.
Use of Orthogonal Frequency Division Multiplexing (OFDM), which is used by 802.11a/n/ac and 802.11g/n, can help to reduce
issues seen in high multipath environments.

Table of Contents

Other manuals for Cisco 8865

Related product manuals