EasyManua.ls Logo

Compaq Evo N600c - Page 65

Compaq Evo N600c
217 pages
Print Icon
To Next Page IconTo Next Page
To Next Page IconTo Next Page
To Previous Page IconTo Previous Page
To Previous Page IconTo Previous Page
Loading...
Troubleshooting
Maintenance and Service Guide 2–15
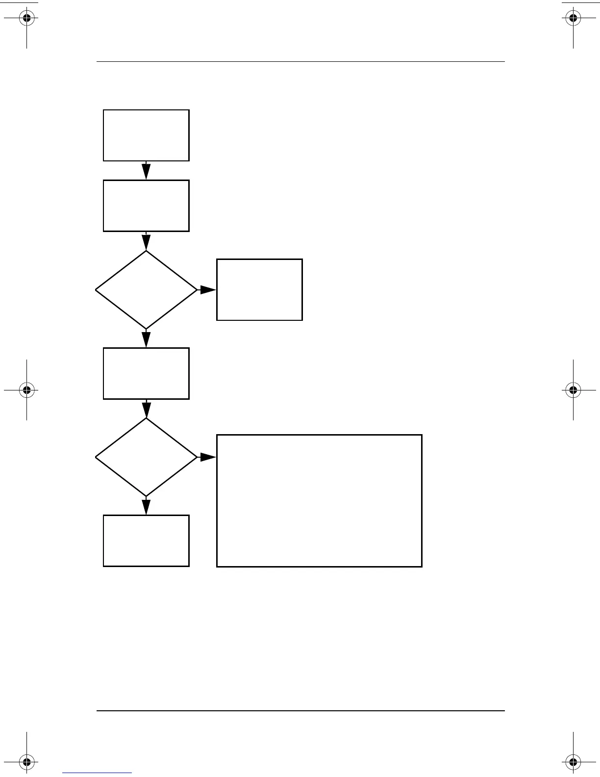
Flowchart 2.5 - No Power, Part 4
Y
N
Continued from
Flowchart 2.4,
No Power, Part 3.
Reseat loose
components and
boards and
replace
damaged items.
Open
computer.
Loose or
damaged
parts?
Y
Close
computer and
retest.
Power on?
Done
N
Replace the following items (if applicable).
Check computer operation after each
replacement:
1. Internal DC-DC converter*
2. Internal AC adapter
3. Processor board*
4. System board*
*Replace these items as a set to prevent
shorting out among components.
279362-003.book Page 15 Monday, May 19, 2003 1:28 PM

Table of Contents

Other manuals for Compaq Evo N600c

Related product manuals