EasyManua.ls Logo

Conair TrueFeed - Page 28

Conair TrueFeed
47 pages
Print Icon
To Next Page IconTo Next Page
To Next Page IconTo Next Page
To Previous Page IconTo Previous Page
To Previous Page IconTo Previous Page
Loading...
How to make a material calibration
Go to the CALIBRATION menu.
Enter the Material name and your production parameters.
Start calibrating. The following screen appears:
Material calibration will take approximately 3 minutes but can take more time depending on the material
used and production parameters.
It is possible to stop
during the calibration (for example to refill the hopper).
To continue select “YES” and press “ENTER”. To stop select “NO” and press “ENTER”.
The calibration will automatically be finished and saved after the setpoint is reached within the set
calibration deviation (Cal dev: default = 5%) set in the CONFIGURATIONS menu. (see Section 7.4)
After saving, the control will automatically go to the PRODUCTION menu and the stored calibration will
automatically be selected.
L
Stored material curves have a * after the filename.
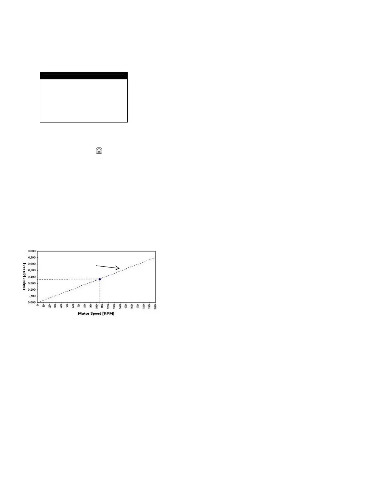
During the calibration the unit is regulating to its setpoint. When this point is reached the calibration will
automatically be saved. On the basis of this point, a complete curve is made using the default
pre-programmed curves.
Material Calibration
How can I select a calibrated material?
When one or more material calibrations are made, one can be selected as follows:
Go to PRODUCTION menu
Use the cursor to go to Material.
Press and hold the “ENTER” button for two (2) seconds. A list will appear with stored material
calibrations
Select the desired material calibration with the selection arrow buttons and press “ENTER”.
If the material calibration made is not in the list, fill in the first letter(s) and press “ENTER”. A filtered list will
now appear. To go back to the main list, fill in with blank spaces and press “ENTER”.
It is also possible to fill in the material description immediately in the PRODUCTION menu and press “ENTER”.
The message “Material not found, select new material” appears when a false material is filled in. To clear
the material description, fill in with blank spaces or select an empty material calibration from the list and press
“ENTER”.
How can I delete or rename a calibrated material?
To delete one or more material see Section 7.13.
To delete all Materials, select “Master Reset Material” in the CONFIGURATIONS menu and press “ENTER”.
CALIBRATION
[TESTING BUSY]
[*****]
Set : 1,000 gr/s
Actual : 0.945 gr/s
Stop & Store : YES/NO
Single point calibration on basis of
pre-programmed curve
24 Dual Feed TrueFeed Manual