EasyManua.ls Logo

Dado Lab QB1 - Specific Characteristics for each Model; Qb1 V1. 5; Qb1 V3,0; Qb1 V5. 0

Dado Lab QB1
30 pages
Print Icon
To Next Page IconTo Next Page
To Next Page IconTo Next Page
To Previous Page IconTo Previous Page
To Previous Page IconTo Previous Page
Loading...
0
10
20
30
40
50
60
70
0 10 20 30 40 50 60 70 80 90 100
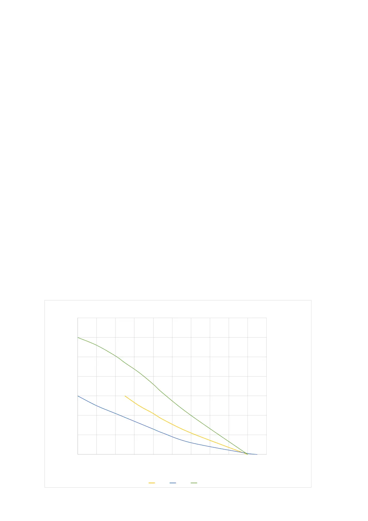
Performance Curve QB1 Pumps
QB1 V3,0 QB1 V1.5 QB1 V5,0
ENGLISH | 21
Specic characteristics for each model
QB1 V1.5
Pump Single head diaphragm
Nominal max owrate 32 l/min
Flowmeters scale indication 0.2 ÷ 3.0 2 ÷ 30 Nl/min
Overall weight 9.5 Kg
Power supply 230Vac ± 10% 50/60Hz - 50 W Fuse 1.6A
QB1 V3.0
Pump Double head diaphragm
Nominal max owrate 55 l/min
Flowmeters scale indication 0.2 ÷ 3.0 2 ÷ 30 Nl/min
Overall weight 11 Kg
Power supply 230Vac ± 10% 50/60Hz - 100 W Fuse 1.6A
QB1 V5.0
Pump Rotary vane
Nominal max owrate 75 l/min
Flowmeters scale indication 2 ÷ 30 2 ÷ 30 Nl/min
Overall weight 13 Kg
Power supply 230Vac ± 10% 50/60Hz - 150 W Fuse 3.15A

Table of Contents