EasyManua.ls Logo

Daikin VRV III - Page 436

Daikin VRV III
455 pages
To Next Page IconTo Next Page
To Next Page IconTo Next Page
To Previous Page IconTo Previous Page
To Previous Page IconTo Previous Page
Loading...
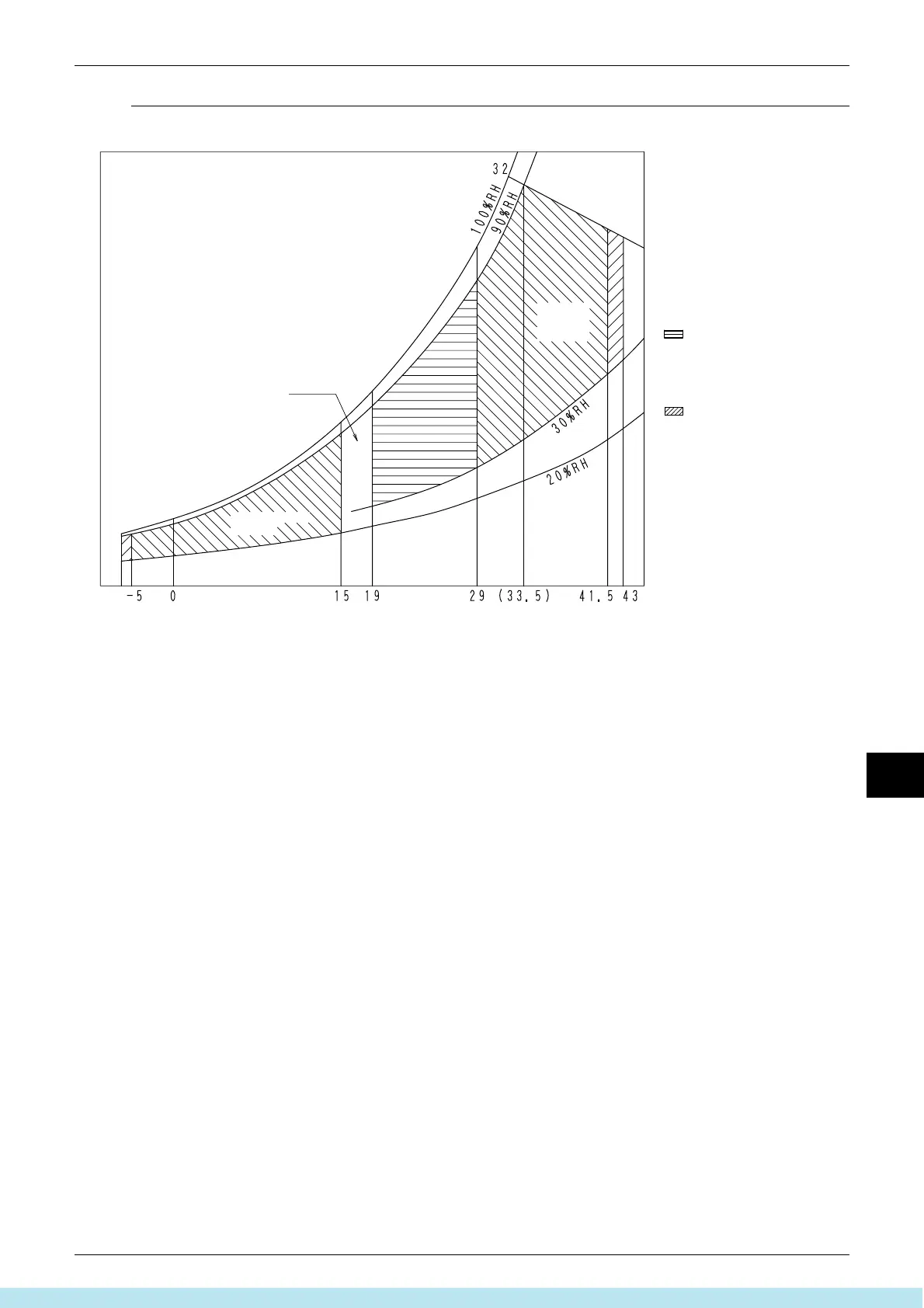
ED34-862 Operation Limit
FXMQ-MF 431
13
FXMQ250MFV1
C: 3D046313
Operation
limit
(cooling)
Operation limit
(heating)
2) :The discharge air temperature
may not match the temperature
setting for too large outdoor-air
processing capacity.
Thermostat OFF may be carried out.
Fan only
operation
O
u
t
d
o
o
r
a
i
r
t
e
m
p
.
(
˚
C
W
B
)
Outdoor air temp. (˚C DB)
NOTE
1) These figures assume the
following operating conditions.
(Indoor and outdoor units)
Equivalent pipe length: 7.5m
Level difference: 0m
3) : THe discharge air temperature
may not match the temperature
setting for too small outdoor-air
processing capacity.
4) The system will not operate
in fan mode when the
outdoor-air temperature is
5˚C or below.
Все каталоги и инструкции здесь: http://splitoff.ru/tehn-doc.html

Table of Contents

Other manuals for Daikin VRV III

Related product manuals