EasyManua.ls Logo

Daitsu DS-9KIDR - F6 the Compressor Lack of Phase; Anti-Phase Protection

Daitsu DS-9KIDR
89 pages
Print Icon
To Next Page IconTo Next Page
To Next Page IconTo Next Page
To Previous Page IconTo Previous Page
To Previous Page IconTo Previous Page
Loading...
Air Conditioner Service Manual
56
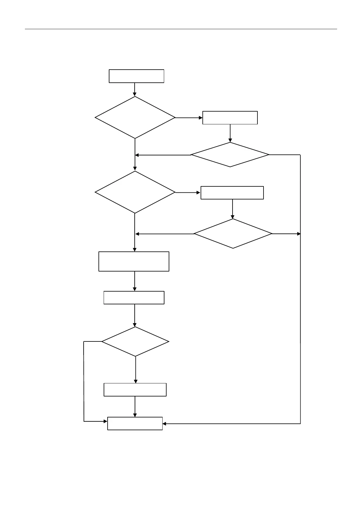
3.2.17 F6 The Compressor Lack of phase / Anti-phase protection.
If ODU PCB can’t test one, or even three phase of compressor current, it will show F6 protection.
Display F6
Check compressor
wiring connector, is
it well connected?
Re-connect
The Compressor
wiring in good quality?
Replace the wires
Compressor phase-
current test circuit failure
Replace ODU PCB
End
Replace compressor
No
No
No
Yes
Yes
Yes
Problem solved?
Problem solved?
Problem solved?
Yes
No
No
Yes

Table of Contents

Related product manuals