EasyManua.ls Logo

Dell P120F - Transporting Sensitive Components; After Working Inside Your Computer; Recommended Tools; Screw List

Dell P120F
133 pages
Print Icon
To Next Page IconTo Next Page
To Next Page IconTo Next Page
To Previous Page IconTo Previous Page
To Previous Page IconTo Previous Page
Loading...
ESD protection summary
It is recommended to use the traditional wired ESD grounding wrist strap and protective anti-static mat always when servicing Dell
products. In addition, it is critical to keep sensitive parts separate from all insulator parts while performing service and that they use
anti-static bags for transporting sensitive components.
Transporting sensitive components
When transporting ESD sensitive components such as replacement parts or parts to be returned to Dell, it is critical to place these
parts in anti-static bags for safe transport.
After working inside your computer
About this task
CAUTION: Leaving stray or loose screws inside your computer may severely damage your computer.
Steps
1. Replace all screws and ensure that no stray screws remain inside your computer.
2. Connect any external devices, peripherals, or cables you removed before working on your computer.
3. Replace any media cards, discs, or any other parts that you removed before working on your computer.
4. Connect your computer and all attached devices to their electrical outlets.
NOTE: To exit service mode, ensure to connect the AC adapter to the power-adapter port on your computer.
5. Press the power button to turn on the computer. Your computer will automatically return to normal functioning mode.
Recommended tools
The procedures in this document may require the following tools:
Phillips screwdriver #0
Plastic scribe
Screw list
NOTE: When removing screws from a component, it is recommended to note the screw type, the quantity of screws, and then
place them in a screw storage box. This is to ensure that the correct number of screws and correct screw type is restored when
the component is replaced.
NOTE: Some computers have magnetic surfaces. Ensure that the screws are not left attached to such surfaces when replacing a
component.
NOTE: Screw color may vary with the configuration ordered.
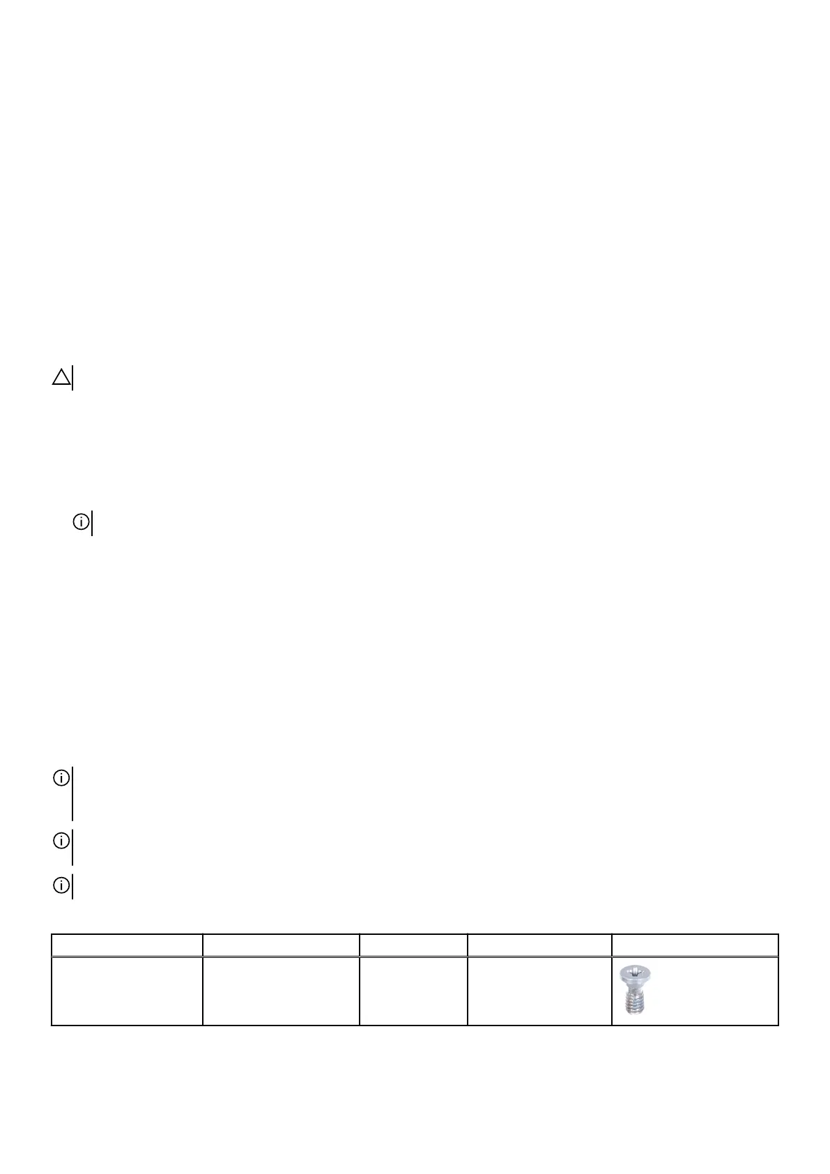
Table 24. Screw list
Component Secured to Screw type Quantity Screw image
Base cover Palm-rest and keyboard
assembly
M2.5x5 2
28

Table of Contents

Other manuals for Dell P120F

Related product manuals