EasyManua.ls Logo

Delta VFD25AMS43AFSHA

Delta VFD25AMS43AFSHA
445 pages
To Next Page IconTo Next Page
To Next Page IconTo Next Page
To Previous Page IconTo Previous Page
To Previous Page IconTo Previous Page
Loading...
Chapter 12 Description of Parameter SettingsMS300 (High Speed Model)
12-06-17
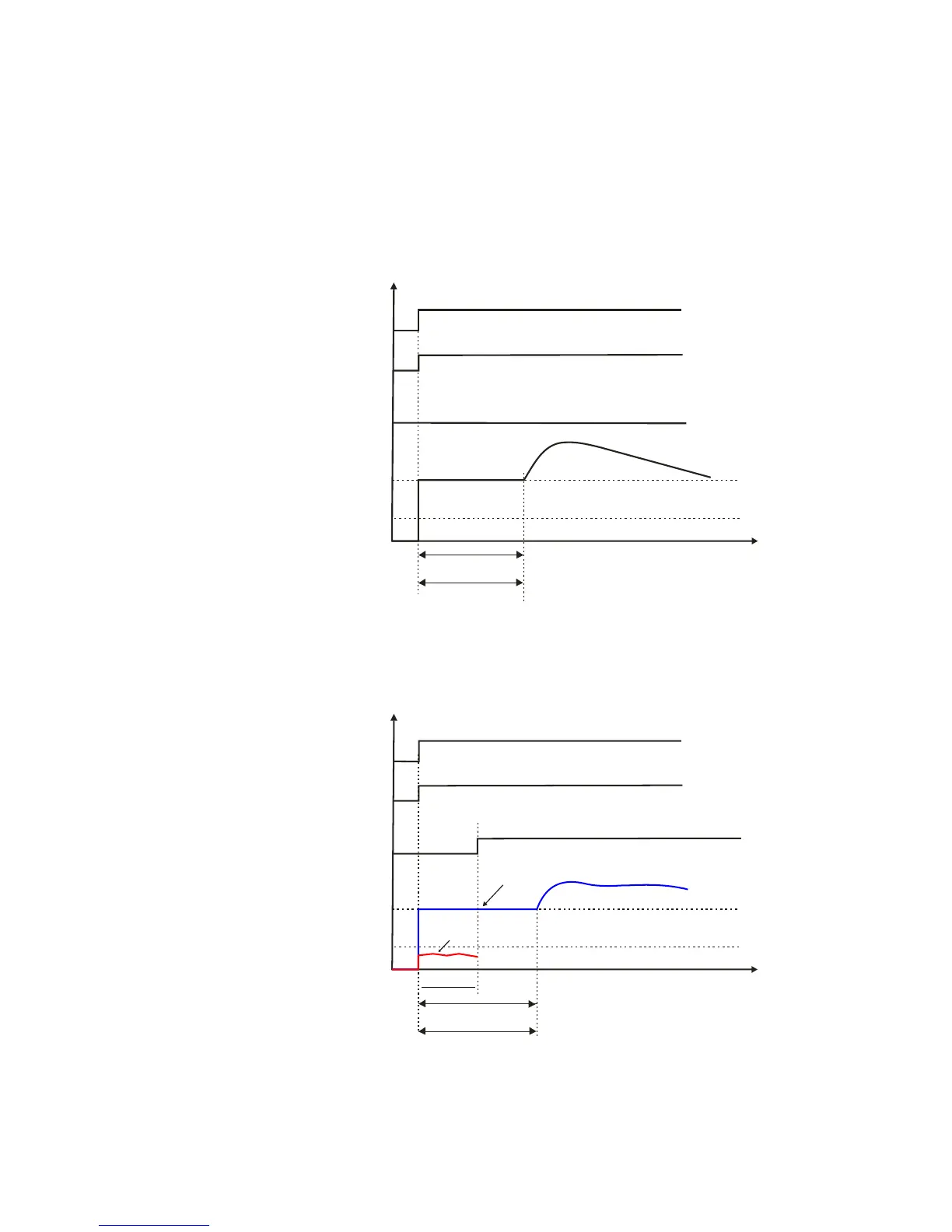
Status 4: The drive is in stop; Pr. 06-48 0; Pr. 07-02 = 0
At startup, the drive will execute DC brake according to the time set in Pr. 06-48. The
DC brake current level is 20 times of Pr. 06-47 setting value. In this period,
if OPHL
happens within the time of Pr. 06-48, the drive will execute Pr. 06-45 setting after the
drive starts counting for half time of Pr. 06-48.
20*[Pr06-47]
Pr.06-48
Pr.06-47
S
t
a
t
us 4-
1
:
P
r
0
6
-
4
8
0
,
P
r
0
7
-
0
2
=
0 (No
O
P
HL de
t
ec
t
ed bef
o
r
e
o
pe
r
a
t
i
o
n
)
Drives status
Operation command
Output current Time
Start to operate
T
o
t
al DC b
r
a
k
e ti
m
e
OPHL de tection action
OPHL detection
OPHL detection acts
No OPHL detected
20*[Pr06-47 ]
Pr.06 -48
Pr.06-47
Pr. 06-48
2
S
t
a
t
us 4-2: P
r
06-48 0, P
r
07-02=0
(
O
P
H
L d e
t
ec
t
ed be
f
o
r
e ope
r
a
t
ion)
Driv e’s s tatu s
Operation command
Output current
When OPHL, Pr06-45 acts
Time
T
o
t
a
l DC b
r
a
k
e
t
i
m
e
Actual output current
DC brake command
OPHL detected
OPHL detection acts
OPHL de tection action
OPHL dete ction

Table of Contents

Related product manuals