EasyManua.ls Logo

Delta VFD25AMS43AFSHA

Delta VFD25AMS43AFSHA
445 pages
To Next Page IconTo Next Page
To Next Page IconTo Next Page
To Previous Page IconTo Previous Page
To Previous Page IconTo Previous Page
Loading...
Chapter 12 Description of Parameter SettingsMS300 (High Speed Model)
12-06-16
Status 3: The drive is in stop; Pr. 06-48 0; Pr. 07-02 0
At startup, the drive will execute DC brake according to the time set in Pr. 06-48 first, and then
execute DC brake according to the time set in Pr. 07-02. DC brake current level in this status
includes two parts, one is 20 times of Pr. 06-47 setting value in Pr. 06-48 setting time, and the
other is Pr. 07-01 setting value in Pr. 07-02 setting time. In this period, if OPHL happens within
the time of Pr. 06-48, the drive will execute Pr. 06-45 setting after the drive starts counting for
half time of Pr. 06-48.
20*[Pr06-47]
Pr.07-01
Pr.06-48
Pr.07-02
Pr.06-47
S
t
a
t
u
s 3
-
1
:
P
r
0
6
-
4
8
0,
P
r
0
7
-
0
2
0 (
N
o
O
P
H
L
d
e
t
e
c
t
ed be
f
o
r
e o
p
e
r
a
t
i
o
n
)
≠≠
Drives status
Operation command
Output current
Time
To
t
al DC bra
k
e
t
i
m
e
Start to opera te
OPHL detection action
OPHL det ectio n acts
No OPHL detected
OPHL detection
20*[Pr06-47]
Pr.07-01
Pr.06 -48
Pr.07-02
Pr.06-47
Pr. 06-48
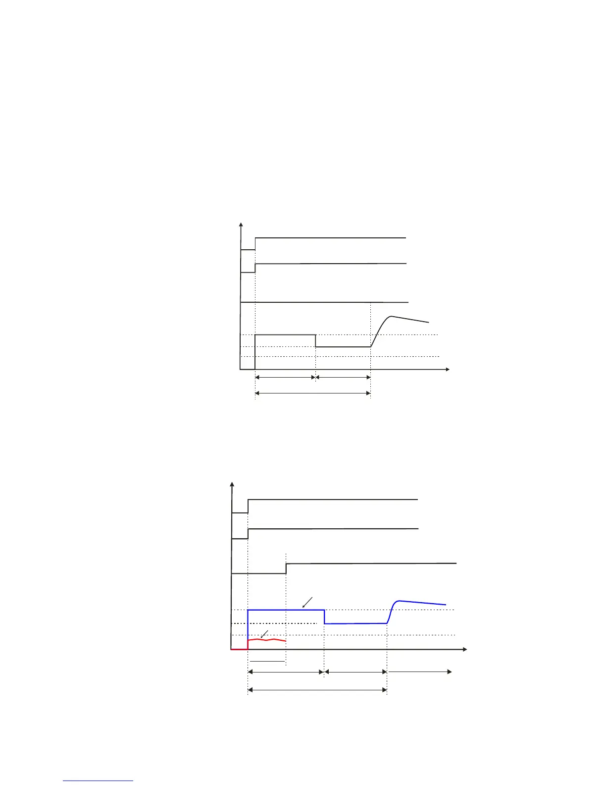
2
S
tatus 3-
2
:
P
r
06-4
8
0,
P
r
07-0
2
0 (O
P
H
L detected bef
o
r
e ope
r
ati
o
n)≠≠
Drive’s status
Operation command
Output current
Start to operate
T
otal DC bra
k
e time
Actual output current
DC brake c om mand
When OPHL, Pr06-45 acts
Time
OPHL de tection action
OPHL detection
OPHL detection acts
OPHL detected

Table of Contents

Related product manuals