EasyManua.ls Logo

DVC DigitEyes Series - Computer Driven External Gain Control; Figure 5-8: External Gainc

Default Icon
66 pages
Print Icon
To Next Page IconTo Next Page
To Next Page IconTo Next Page
To Previous Page IconTo Previous Page
To Previous Page IconTo Previous Page
Loading...
21
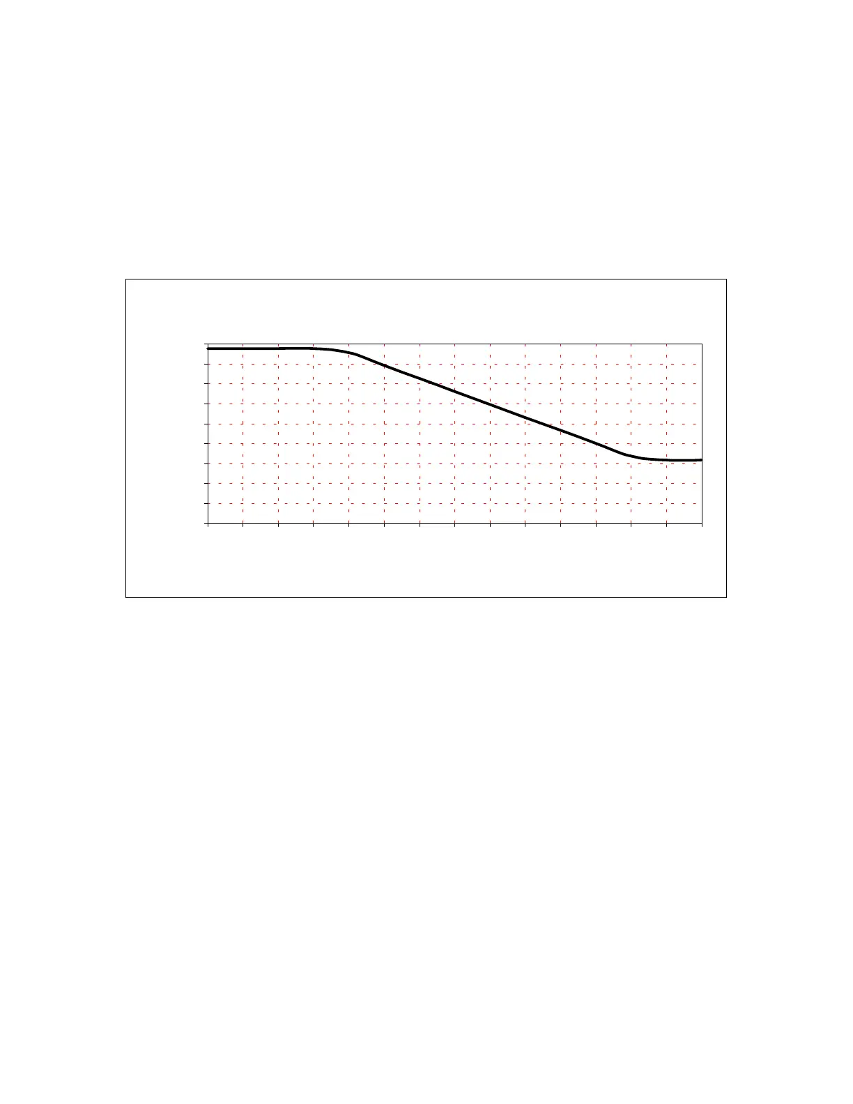
5.6.4 Computer Driven External Gain Control:
If this option is installed, the internal analog gain control potentiometer is removed and the gain
control function may be performed by feeding a variable DC voltage to the camera via DB-37
connector (pin 37). This control voltage may be generated from any external source, including
(but not limited to) a Digital-to-Analog converter on an Image Processor or computer peripheral
board. The range of operation of the External Gain function is determined by the range of control
of the video processing circuit and is approximately 26 dB, from a maximum of 43 dB (at 2V) to
a minimum of 17 dB (at 4V). It has a linear response between 2V and 4V but flattens out below
2V and above 4V (see curve below). Yes, the negative slope is real and NOT a typo !
5.6.4.1 Gain vs. Noise:
The increase of gain increases the noise that is present on the video signal; the signal-to-noise
ratio of the analog video signal is considerably degraded in low-light, high gain situations.
However, some scientific applications benefit greatly from this function. Since DVC cameras
have much higher signal-to-noise ratios than average analog video cameras, they produce much
less noise (even in low-light, high gain situations) than most competing products.
5.6.4.2 Default:
The camera defaults to max. gain if an external voltage source is not plugged into a camera that
has been modified for External Gain Control.
Total Analog Video Gain (from CCD to Output) vs. Control Voltage
0.00
5.00
10.00
15.00
20.00
25.00
30.00
35.00
40.00
45.00
0.00
0.50
1.00
1.50
2.00
2.25
2.50
2.75
3.00
3.25
3.50
3.75
4.00
4.50
5.00
Control Voltage (Volts)
Analog Video Gain (dB)
Figure 5-8: External Gain Control Curve

Table of Contents