EasyManua.ls Logo

Dynacord PowerMate3 - Page 43

Dynacord PowerMate3
84 pages
Print Icon
To Next Page IconTo Next Page
To Next Page IconTo Next Page
To Previous Page IconTo Previous Page
To Previous Page IconTo Previous Page
Loading...
POWERMATE
3
43
HINWEIS: Betreiben Sie bitte keine E-Gitarre bzw. E-Bass mit passiver Elektronik und hochohmigem Ausgang
direkt an einem Mischpult LINE-Eingang. Diese Eingänge sind typischerweise, auch bei allen andern
Herstellern, für relativ niedrige Quellimpedanzen ausgelegt, wie sie elektronische Geräte aufweisen.
Das Klangergebnis wird unbefriedigend sein und der Klangcharakteristik der Instrumente nicht gerecht
werden. Benutzen Sie für derartige Instrumente wenn möglich einen speziellen Vorverstärker mit sehr
hoher Eingangsimpedanz. Instrumente mit aktiver Elektronik (Batterie) können dagegen ohne
Bedenken direkt angeschlossen werden.
3 - GAIN-R
EGLER
Regler zum Abgleich der Eingangsempfindlichkeit der MIC- und LINE-Eingänge, wobei die ankommenden Signale optimal
auf den internen Arbeitspegel des Mischpultes angepasst werden. Durch eine gewissenhafte Einpegelung des Signals
können Sie den Signal-Rauschabstand optimieren und die hervorragenden Audioeigenschaften des PowerMate im vollen
Umfang nutzen. Bei Verwendung der XLR-Buchse wird bei Linksanschlag um 10 dB und bei Rechtsanschlag um 60 dB
verstärkt. Die hohe Verstärkung ist speziell bei sehr geringem Eingangspegel vonnöten, wie dies z. B. bei Sprach-
aufnahme mit Mikrofon und Fernbesprechung der Fall ist. Bei Benutzung der LINE-Buchse wird generell um 20 dB abge-
schwächt was die verzerrungslose Verarbeitung sehr hochpegeliger Quellen erlaubt. Der Regelumfang von 50 dB bleibt
dabei erhalten. Unity Gain, also Durchgangsverstärkung 0 dB, liegt für den LINE-Eingang bei der Markierung 20 dB.
Im Folgenden wollen wir nun eine kurze Einstellhilfe geben, wie Sie bei der Einpegelung des Kanalzuges am besten vor-
gehen sollten.
Einstellhinweise für den GAIN-Regler
1. GAIN-Regler zudrehen und Kanalschieberegler schließen.
2. Schließen Sie die gewünschte Quelle (Mikro, Instrument...) an der MIC- oder LINE-Buchse an.
3. Spielen Sie das Signal mit der maximal zu erwartenden Lautstärke ein, bzw. singen oder sprechen Sie mit voller
Lautstärke, wobei Sie so nahe wie möglich am Mikrofon stehen sollten.
4. Gleichen Sie dabei mit dem Regler den Pegel so ab, dass auch bei sehr lauten Passagen die rote Peak-LED (PK)
gerade nicht, aber die Signal-LED (SIG) sicher aufleuchtet. Sie haben nun die Grundeinstellung des Kanalzuges
gefunden und der Headroom beträgt mindestens 6 dB. Das bedeutet Sie haben noch mindestens 6 dB Aussteue-
rungsreserve, bis das Signal hörbar verzerrt wird. Falls Sie mit Hilfe der Klangregelung noch Korrekturen am
Klangbild vornehmen, sollten Sie noch einmal Punkt 3 und 4 ausführen, da auch diese Klangeinstellungen den
Kanalpegel beeinflussen.
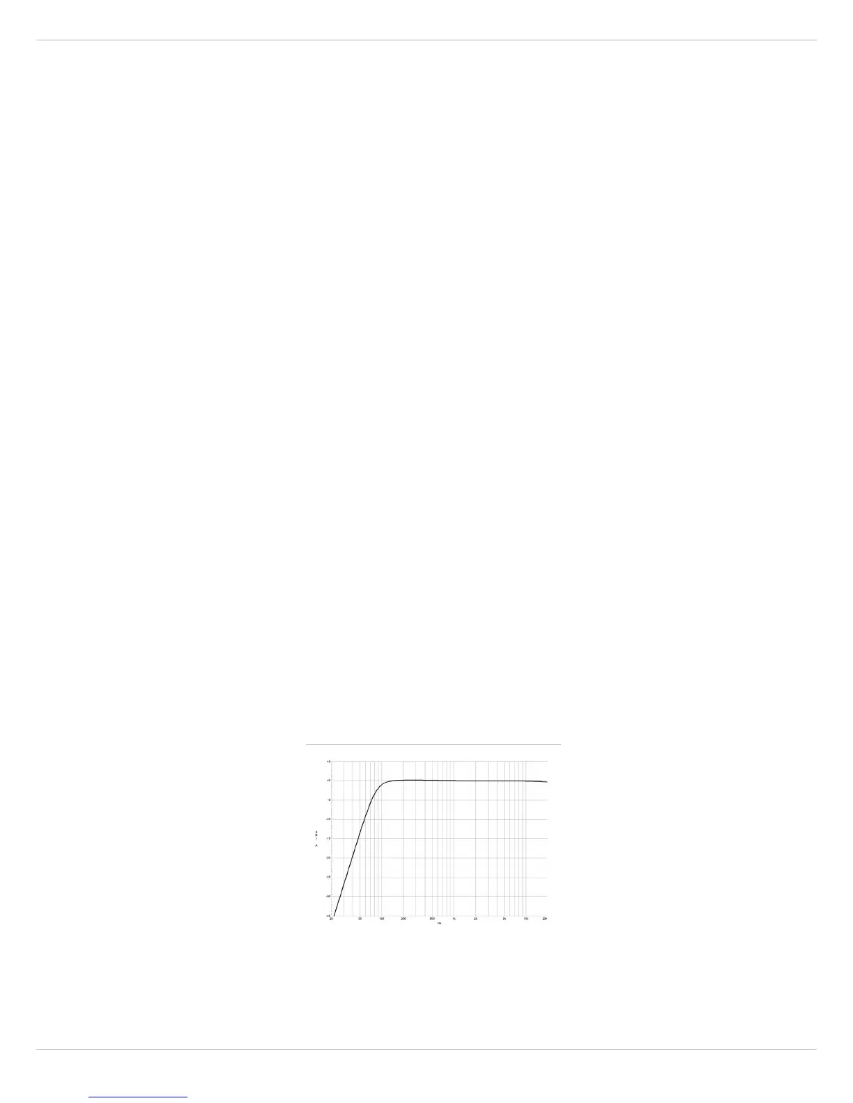
4 - LO CUT 80 H
Z-SCHALTER
Mit dem LO CUT 80 Hz-Schalter in den Kanälen 1 bis 4 können Bassfrequenzen unterhalb 80 Hz mit einer Flanken-
steilheit von 18 dB pro Oktave unterdrückt werden. Sinnvoll ist die Benutzung des LO CUT-Filters bei allen Mikrofonan-
wendungen, wobei hier die Abnahme von Bassdrum oder Bass gesondert zu betrachten ist. Mit diesem Filter werden
sowohl alle Rumpel- oder Poppgeräusche als auch tieffrequente Feedbacksignale unterdrückt. In Verbindung mit dem
LO CUT-Filter kann der Bassregler in der Klangregelung angehoben werden, ohne dabei den Sound “tiefbasslastig” oder
“wummrig” erscheinen zu lassen. Ein weiterer nützlicher Nebeneffekt ist, dass der Leistungsverstärker und die Laut-
sprecher nicht mit tieffrequenten Störsignalen beaufschlagt werden, die nur die Anlage “dicht machen”, und an denen
weder Sie noch ihr Publikum interessiert sind. Ihre Lautsprecherboxen werden Ihnen die Verwendung des LO CUT-Fil-
ters mit einem transparenten und druckvollen Sound danken.
Abbildung 2-3: Frequenzgang des LO CUT-Filters

Table of Contents

Related product manuals