EasyManua.ls Logo

Electrolux EWM 1000 Plus - 8. Fast Unbalance Control System (FUCS) 27; 8.1. Examples of operation of the unbalancing control function

Electrolux EWM 1000 Plus
41 pages
Print Icon
To Next Page IconTo Next Page
To Next Page IconTo Next Page
To Previous Page IconTo Previous Page
To Previous Page IconTo Previous Page
Loading...
- 27 -
DGS-TDS-N07.2003 C.D. 599 51 74-13 EN
8. Fast Unbalance Control System (FUCS)
The control procedure for unbalanced loads is performed dynamically, before each spin cycle, as
follows:
- An initial phase is performed in which the direction of rotation of the drum is alternated at 55 rpm.
- The phase begins at a speed of 55 rpm; the speed can never fall below this threshold, otherwise
the check is repeated.
- At intervals of 300 ms, the balance is calculated and compared with predetermined limits. If the
value is less than the lower limit, the speed of the drum is increased by 2 rpm; if the value is
higher, the speed of the drum is reduced by 2 rpm. The reduction in the speed of the drum
distributes the washing correctly; this procedure is repeated until the wash load is completely
balanced.
- Correct balancing of the wash load is achieved at a speed of 115 rpm, after which the spin cycle
begins.
The unbalancing control function takes place in four phases; each phase is characterized by
an unbalancing threshold and a time-out (maximum time).
Phase 0: Phase 0 has a pre-determined unbalancing threshold; if correct balancing of the wash
load is achieved, the appliance performs a 470 rpm spin pulse, preceded by 5
seconds at 100 rpm and followed by phase 1; otherwise, after a maximum of 60
seconds, the cycle passes directly to phase 1.
Phase 1: The first phase has a different preset unbalancing threshold: if correct balancing is
achieved, the appliance performs the spin cycle, preceded by 5 seconds at 100 rpm. If
not, after a maximum of 120 seconds, the cycle passes to phase 2.
Phase 2: The pre-determined unbalancing threshold in the second phase is different: if correct
balancing is not achieved within 60 seconds, the function passes to phase 3.
Phase 3: The third phase has a pre-determined unbalancing threshold: if correct balancing is
achieved within 90 seconds, a spin pulse is performed, preceded by 5 seconds at 100
rpm and followed by a repeat of phase 1. If the load is highly unbalanced after the second
attempt for phase 3, the spin cycle is skipped; if balancing is not perfect, a reduced-speed
spin is performed.
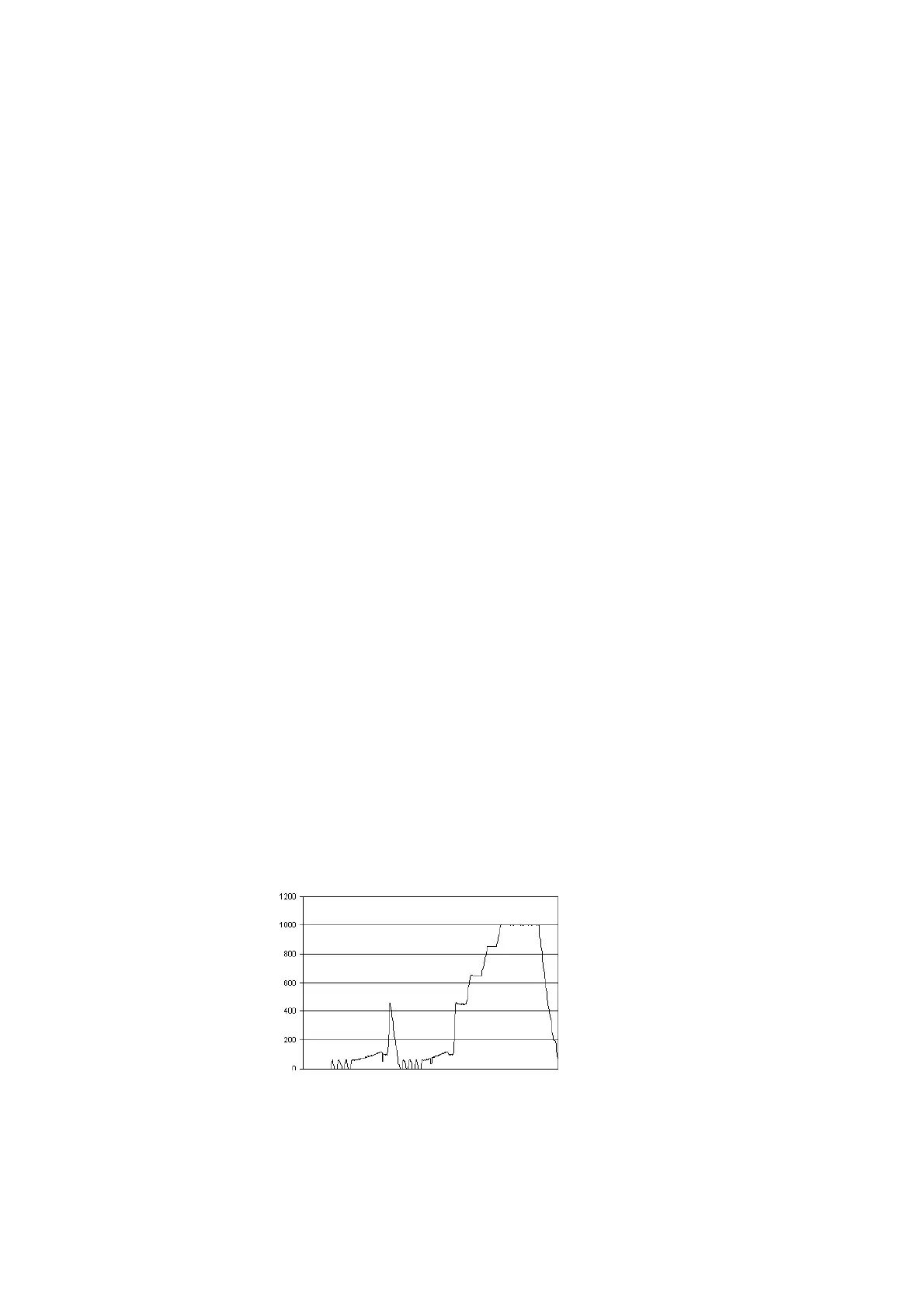
8.1. Examples of operation of the unbalancing control function
The examples shown below describe the operation of an appliance with a final spin speed of 1000 rpm.
Perfect balancing
- Low speed
- FUCS phase 0
with spin pulse
- Low speed
- FUCS phase 1
- Normal spin

Table of Contents

Related product manuals