EasyManua.ls Logo

Electrolux t4130c - Page 28

Electrolux t4130c
60 pages
Print Icon
To Next Page IconTo Next Page
To Next Page IconTo Next Page
To Previous Page IconTo Previous Page
To Previous Page IconTo Previous Page
Loading...
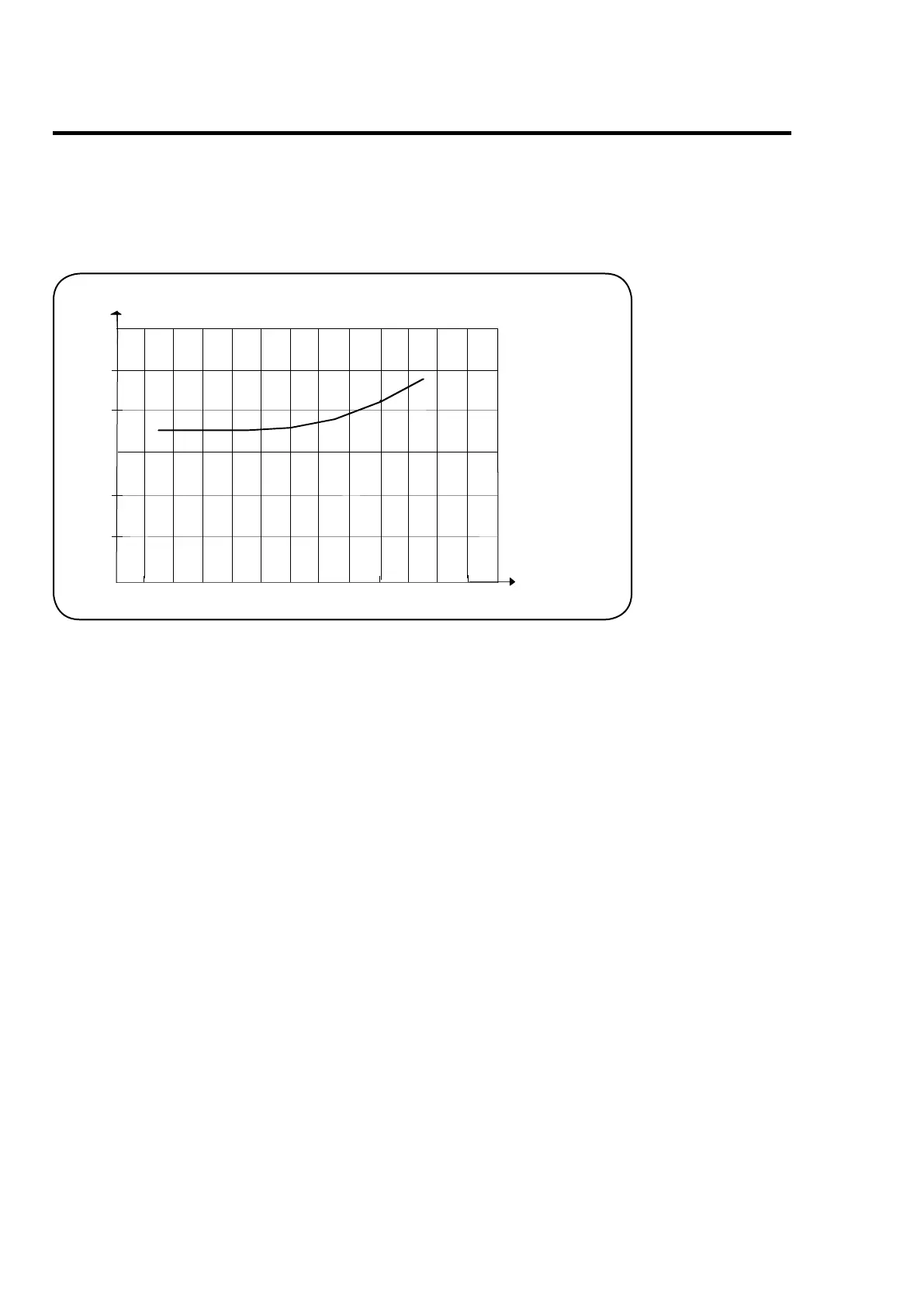
x = °C
Y = Min.
10
20
30
40
0
0
20
40
60
80
100
Drying time=min.
Ambient temperature = Cº
Optimizing the air flow
Service
manual
28
The ambient temperature influence on the drying time T4130C.
T4130C

Other manuals for Electrolux t4130c

Related product manuals