EasyManua.ls Logo

Finn Bark Blower BB-302 - Page 22

Finn Bark Blower BB-302
55 pages
Print Icon
To Next Page IconTo Next Page
To Next Page IconTo Next Page
To Previous Page IconTo Previous Page
To Previous Page IconTo Previous Page
Loading...
16
G) Install a block of wood, approximately 2 in. x 4 in. x 6 in. (5cm x10cm x 15cm)
between the knife and the closest vane at the center of the rotor length. Pinch the
wood between the knife and the vane by turning the rotor shaft with a pipe wrench.
H) While keeping pressure on the knife, tighten the three mounting bolts.
I) Remove the wood block and check the clearance between the knife and the rotor
vane, using a feeler gauge at the three mounting bolts.
NOTE: If the knife touches the vane at any point, loosen the three mounting
bolts, back off the jacking screws evenly, and repeat steps G, H,
and I until clearance is obtained.
J) Loosen the three mounting bolts; use the jacking screws to close the gap. One full
turn of the screw moves the knife 0.070 in. (1.8 mm).
K) Tighten mounting bolts as explained in steps G and H.
L) Repeat steps, G, H, I, and J until a knife-to-vane clearance of no more than 0.006 in.
(0.15 mm) is obtained at the closest point(s).
M) Once set, install the other two mounting bolts and tighten.
N) Run the two center jacking screws into contact with the knives. Lock all jacking
screws in place with the jam nuts.
O) Remove three mounting bolts for transition door, and install the door.
P) Repeat procedure for other knife (if equipped).
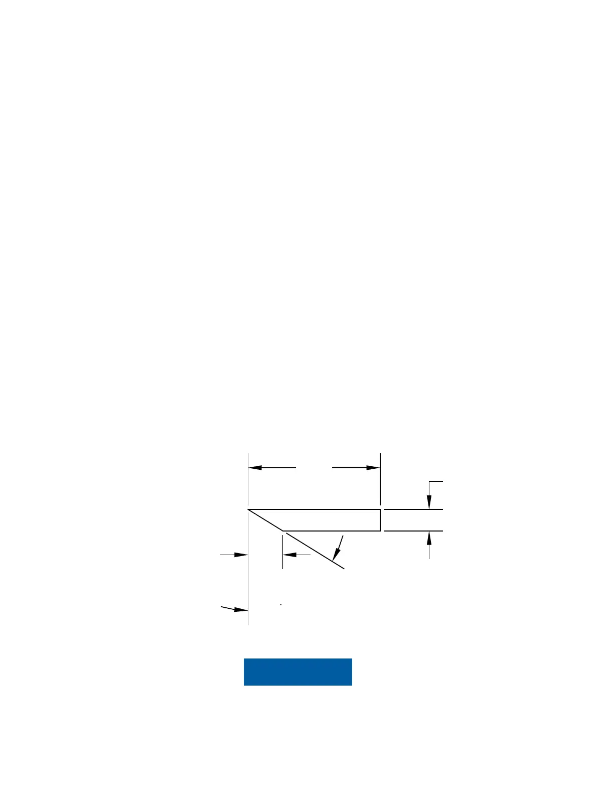
Q) Immediately have the removed knives sharpened. Do not attempt to grind the
knives by hand. The knives must be ground straight and true on a surface grinder
by an experienced knife sharpener. Have the knives ground to the profile shown in
Figure 5:
Figure 5 - Knife Profile
NOTICE
When dimension “A” has been reduced to 2- 3/8 in. (6 cm), the knife must be discarded.
"A"
3/8"
(.95 cm)
59°
48° Max.
5/8" (1.6 cm)
27/64" (1.07 cm)
Min.

Related product manuals