EasyManua.ls Logo

Franklin Electric Inline 400 - Annexe 1: Courbe de Rendement du Système de Surpression Inline 400

Franklin Electric Inline 400
72 pages
Print Icon
To Next Page IconTo Next Page
To Next Page IconTo Next Page
To Previous Page IconTo Previous Page
To Previous Page IconTo Previous Page
Loading...
18
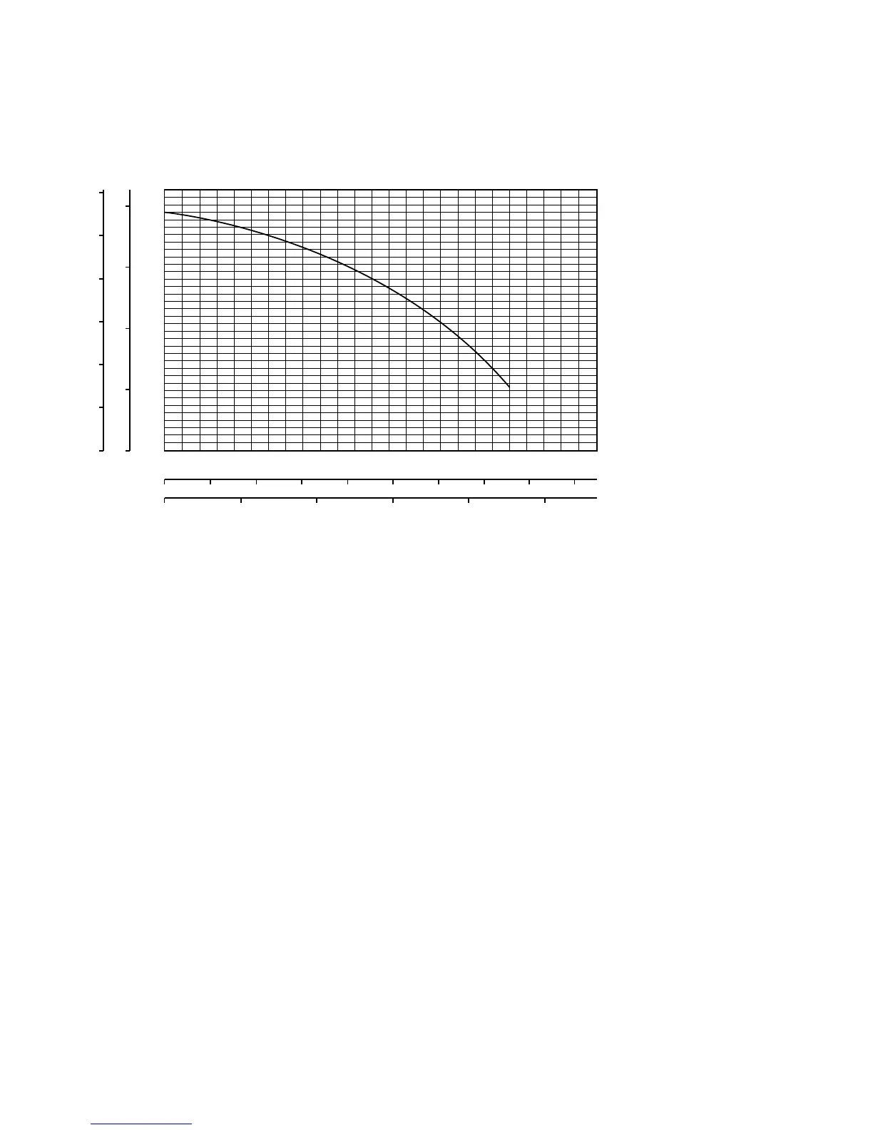
Système de surpression Inline
Annexe1: Courbe de rendement du système de surpression Inline
60
140
120
100
80
60
40
20
0
0
0 10 20 30 40 50 60 70 80 90
0 1 2 3 4 5
0 10 20 2515
50
40
40
30
20
10
0
30
20
10
0
mpsi
GPM (gallons/minute)
LPM (litres/minute)
m
3
/h
pi

Other manuals for Franklin Electric Inline 400

Related product manuals