EasyManua.ls Logo

FUHR multitronic 881 - Switching Power Supply Unit Specs

FUHR multitronic 881
58 pages
Print Icon
To Next Page IconTo Next Page
To Next Page IconTo Next Page
To Previous Page IconTo Previous Page
To Previous Page IconTo Previous Page
Loading...
53
WWW.FUHR.DE
multitronic
881/881GL/ServoAccess
Model: Primary switching controller (single phase, primary clocked built-in power supply)
Impulse load capacity, short circuit protected, open-circuit proof, high efficiency, thermal overload protection
Tested in accordance with: EN 60950
EMV: EN 50081-2 (emitted interference)
EN 61000-6-2 (interference resistance)
Test voltage: 4.2 KV
Type of construction: Cable cast in the contact
IP rating: IP 20 with plug (IP 53 without plug)
Protection grade: Prepared for protection grade I devices and systems
Ambient temperature: -20 °C to +60 °C (0 °C to 40 °C without derating)
Relative humidity: 5 to 80 %
Cooling method: Self-cooling by means of natural convection
Storage temperature: -25 °C to +85 °C
Input voltage range: 230 V AC input (180 to 264 V input voltage range)
Channel: 50 to 60 Hz
Input current: Type 0.7 A at 230 V AC
Switch-on current: < 15 Ap
Mains power failure bridging: > 20 ms at 230 V AC nominal voltage
Overvoltage protection: Yes
Connections: 3 m cable with 3 x 0.75 mm
2
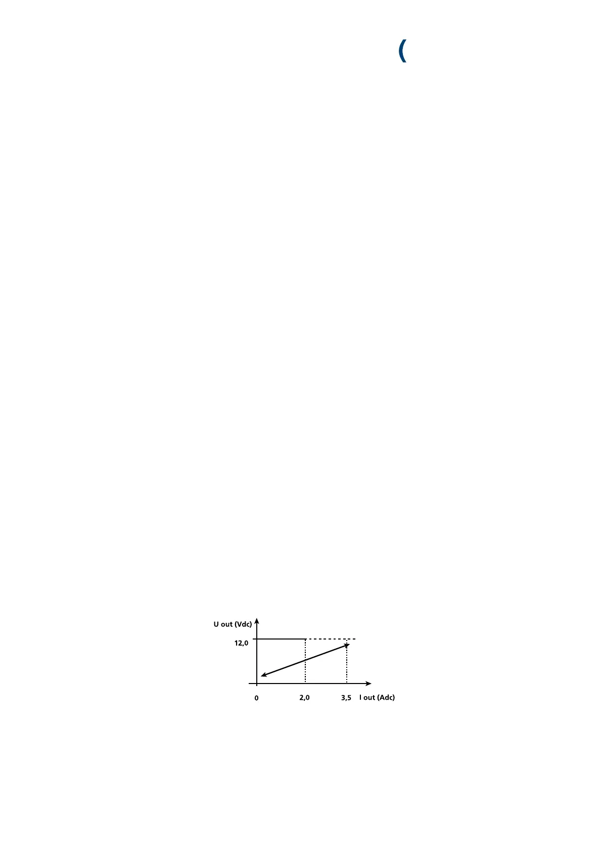
Output voltage: 12 V DC stabilised 2% (SELV)
Output current: 2.0 A 100 % ED/Duty Cycle
3.5 A at 5 % ED/Duty Cycle
Ripple: <100 m Vpp (at 20 MHz bandwidth)
Control deviation: Max. 2 %
Current limiting: Refer to the characteristic line in the diagram
Efficiency: Type 79 %
Connections: 300 mm x 0.75 mm
2
Dimension: 230 x 25 (29) x 35 mm
Weight: Approx. 350 g. (including cable)
U/I characteristic line:
10.7 MULTITRONIC SWITCHING POWER SUPPLY UNIT
(INSTALLATION IN THE DOOR FRAME)

Table of Contents

Other manuals for FUHR multitronic 881