EasyManua.ls Logo

Grundfos DDI 150-4

Grundfos DDI 150-4
632 pages
To Next Page IconTo Next Page
To Next Page IconTo Next Page
To Previous Page IconTo Previous Page
To Previous Page IconTo Previous Page
Loading...
English (GB)
27
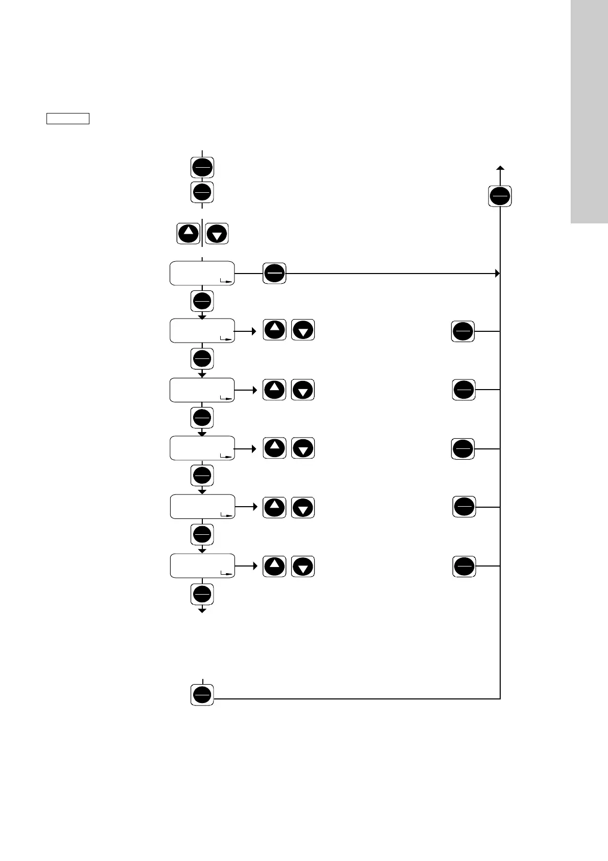
1. Navigate in the second function level by repeatedly pressing
the "Menu/Info" button.
2. Use the "Up" and "Down" buttons to modify the settings in the
relevant menu as shown in figs 28 and 29.
3. Press the "Start/Stop" button to exit the second function level.
Fig. 28 Second function level, part 1
Note
You can only change the parameters in the shown
order. When the "Menu/Info" button is pressed again
(after one run), the first function level opens
automatically.
TM03 6609 4506
Stop
Start
Stop
Start
Stop
Start
Stop
Start
Stop
Start
Down
Up
C:111
Code
Memory
OFF
Analog
L: 00
mA
Down
Up
Down
Up
4-20 mA
OFF
CAL
Stop
Start
Down
Up
P:OFF
bar
Stop
Start
Down
Up
Menu
Info
Menu
Info
Menu
Info
Menu
Info
Menu
Info
Menu
Info
Menu
Info
Stop
Start
flow
OFF
Down
Up
Menu
Info
Keep pressed for 3 seconds
Setting code 111
Calibration
Dosing controller
Pressure control
Memory function
Weighting of current
input/output
Press "Up" to start calibration,
see section
9.6 Calibration
Switch dosing controller on/off
ON/OFF
Press "Up" to switch on pressure
control function
For maximum counter-pressure
settings, see section
9.10.2 Setting the Flow Monitor
Saving of approx. 65,000 contact
signals
ON/OFF
Weighting of current input/output,
see section
9.9 Current signal
control 0-20 mA / 4-20 mA
Batch
Timer
PROFIBUS
Slow mode
Dosing quantity counter
Operating hours counter
See next page

Table of Contents

Related product manuals