EasyManua.ls Logo

Grundfos DDI 150-4

Grundfos DDI 150-4
632 pages
To Next Page IconTo Next Page
To Next Page IconTo Next Page
To Previous Page IconTo Previous Page
To Previous Page IconTo Previous Page
Loading...
Slovensko (SI)
507
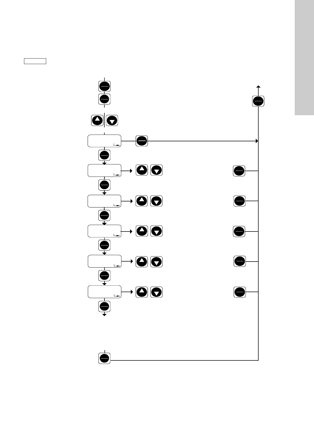
1. Po meniju druge ravni delovanja se pomikate s pritiskanjem
gumba "Menu/Info" (meni/informacije).
2. Za spreminjanje nastavitev želenega menija uporabite gumba
"Down" (dol) in "Up" (gor), kot je prikazano na slikah 28 in 29.
3. Za izhod iz druge ravni delovanja pritisnite gumb "Start/Stop".
Slika 28 Druga raven delovanja, 1. del
Nasvet
Parametre lahko spreminjate le v prikazanem
zaporedju. Če znova pritisnete gumb "Menu/Info"
(meni/informacije) (po enem krogu), se bo prva raven
delovanja samodejno odprla.
TM03 6609 4506
Stop
Start
Stop
Start
Stop
Start
Stop
Start
Stop
Start
Down
Up
C:111
Code
Memory
OFF
Analog
L: 00
mA
Down
Up
Down
Up
4-20 mA
OFF
CAL
Stop
Start
Down
Up
P:OFF
bar
Stop
Start
Down
Up
Menu
Info
Menu
Info
Menu
Info
Menu
Info
Menu
Info
Menu
Info
Menu
Info
Stop
Start
flow
OFF
Down
Up
Menu
Info
Pridržite 3 sekunde
Nastavitev kode 111
Umerjanje
Krmilnik doziranja
Vzdrževanje tlaka
Pomnilniška funkcija
Uravnavanje
vhodnega/izhodnega
toka
Pritisnite tipko "Up" (gor), če
želite začeti z umerjanjem -
glejte razdelek
9.6 Umerjanje
Vklop/izklop dozirnega krmilnika
ON/OFF
Pritisnite tipko "Up" (gor), če želite
preklopiti na funkcijo vzdrževanja
tlaka
Za najvišjo mogočo nastavitev
protitlaka si oglejte razdelek
9.10.2 Nastavitev nadzora pretoka
Shranjevanje približno
65000 kontaktnih signalov
ON/OFF
Za uravnavanje
vhodnega/izhodnega toka si oglejte
razdelek
9.9 Nadzor tokovnega
signala 0-20 mA / 4-20 mA
Serija
Časovnik
PROFIBUS
Počasni način
Števec dozirne količine
Števec ur delovanja
Poglejte naslednjo stran

Table of Contents

Related product manuals