EasyManua.ls Logo

Haake F6 - Page 76

Haake F6
85 pages
Print Icon
To Next Page IconTo Next Page
To Next Page IconTo Next Page
To Previous Page IconTo Previous Page
To Previous Page IconTo Previous Page
Loading...
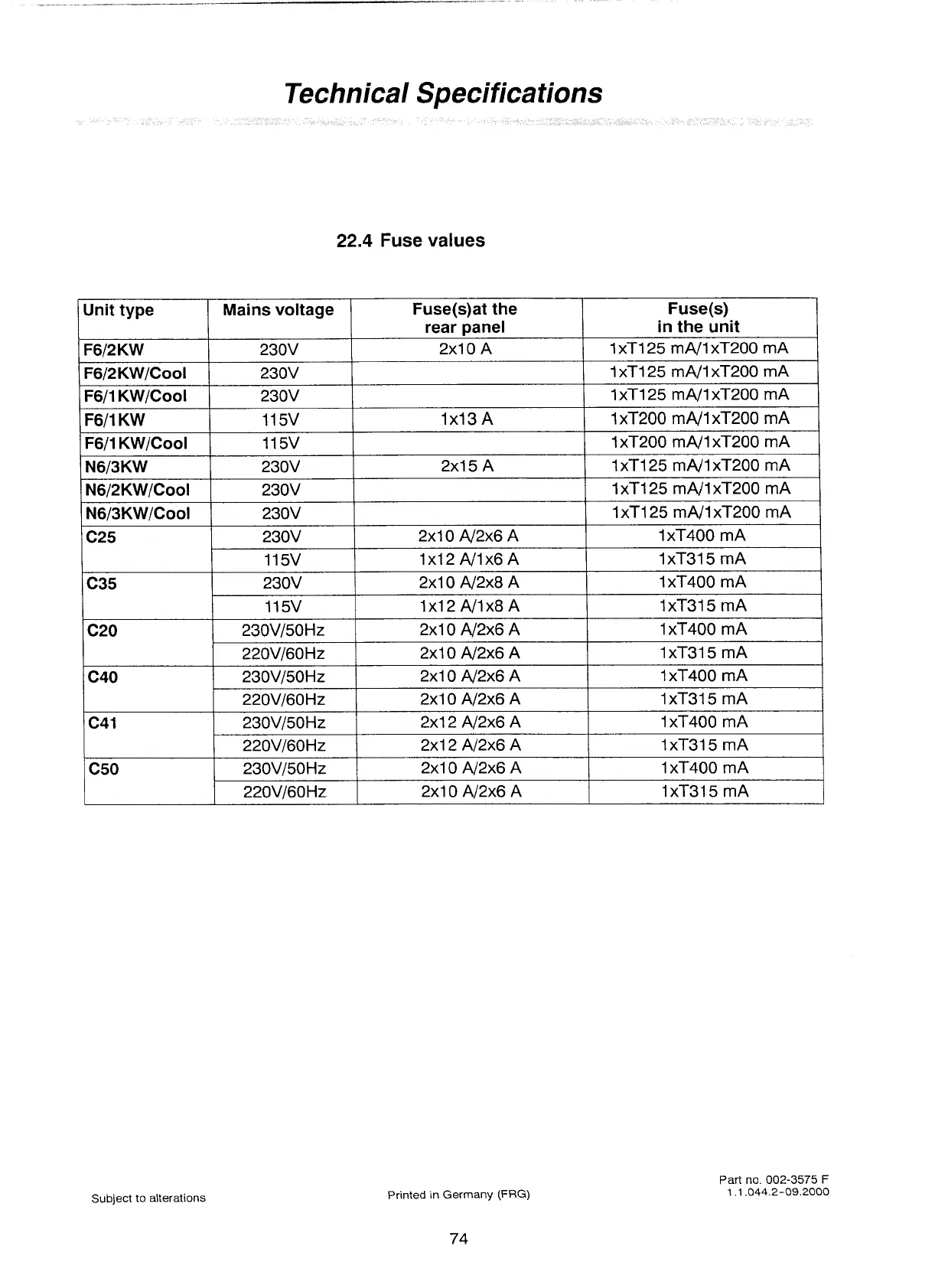
Technical Specifications
22.4
Fuse values
Part
no.
002-3575
F
1
.1
.044.2-09.2000
Subject to alterations
Fuse(s)
in the unit
1 xT125 mA/1 xT200 mA
1 xT125 mA/1 xT200 mA
1 xT125 mA/1 xT200 mA
1 xT200 mN1 xT200 mA
1 xT200 mA/l xT200 mA
1
xT125 mA/1 xT200 mA
1 xT125 mA/l xT200 mA
Printed in Germany (FRG)
74
Fuse(s)at the
rear
panel
2x1 0 A
1x13 A
2x1 5 A
Unit type
F6/2KW
F6/2 KW/Cool
F6/1 KWICool
F6/1 KW
F6/1 KWICool
N613KW
N612KWICool
Mains voltage
230V
230V
230V
115V
115V
230V
230V
Artisan Technology Group - Quality Instrumentation ... Guaranteed | (888) 88-SOURCE | www.artisantg.com

Table of Contents