EasyManua.ls Logo

Hioki IR4052 - Voltage Characteristic of Measuring Terminals

Hioki IR4052
83 pages
Print Icon
To Next Page IconTo Next Page
To Next Page IconTo Next Page
To Previous Page IconTo Previous Page
To Previous Page IconTo Previous Page
Loading...
35
索引
4
3
2
1
7
6
5
10
9
8
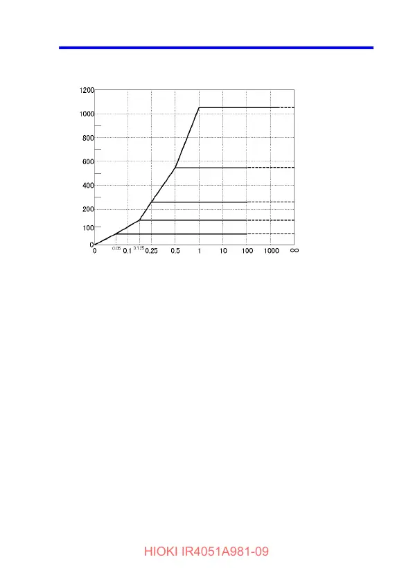
2.5 Insulation Resistance Measurement
2.5.5 Voltage Characteristic of Measuring
Terminals
Rating 50 V
Rating 125 V
Rating 250 V
Rating 500 V
Rating 1000 V
Voltage induced [V]
Resistor to be measured [MΩ]
HIOKI IR4051A981-09

Related product manuals