EasyManua.ls Logo

Hioki IR4055 - Voltage Characteristics of Measurement Terminals

Hioki IR4055
88 pages
Print Icon
To Next Page IconTo Next Page
To Next Page IconTo Next Page
To Previous Page IconTo Previous Page
To Previous Page IconTo Previous Page
Loading...
38
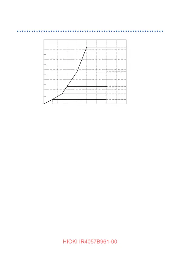
Insulation Resistance Measurement
Voltage Characteristics of Measurement Terminals
1200
1000
800
600
400
200
100
0
0 0.1 0.25 0.5 1 10 100 1000
0.05 0.125
Resistance of measuring object [M
Ω
]
Rated 1000
V
Rated 500
V
Rated 250
V
Rated 125
V
Rated 50
V
Voltage generated [V]
HIOKI IR4057B961-00

Related product manuals