EasyManua.ls Logo

Honda BF45A - Page 297

Honda BF45A
431 pages
Print Icon
To Next Page IconTo Next Page
To Next Page IconTo Next Page
To Previous Page IconTo Previous Page
To Previous Page IconTo Previous Page
Loading...
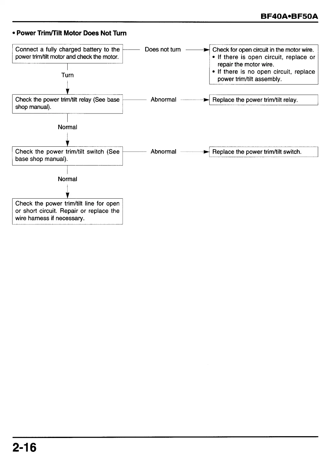
BF40AoBF50A
Check the power trim/tilt switch (See
base shop manual).
Power TriMilt Motor
Does
Not Turn
Abnormal
Replace the power trim/tilt switch.
Turn
Check the power trimhlt relay (See base
.
shop manual).
Check for open circuit in the motor wire.
If
there is open circuit, replace or
If
there is no open circuit, replace
repair the motor wire.
1
power trimhlt assembly.
Does not turn
-
Abnormal
I
Normal
I
Normal
t
Check the power trimhilt line for open
or short circuit. Repair or replace the
wire harness
if
necessary.
2-1
6