EasyManua.ls Logo

InfoTronics IDpunch 7 - Reader Lifecycle and Basic Usage; IDpunch 7 Finger Reader Lifecycle

InfoTronics IDpunch 7
40 pages
Print Icon
To Next Page IconTo Next Page
To Next Page IconTo Next Page
To Previous Page IconTo Previous Page
To Previous Page IconTo Previous Page
Loading...
©2011, Attendance on Demand
®
, Inc. Information in this document is subject to change without notice.
9
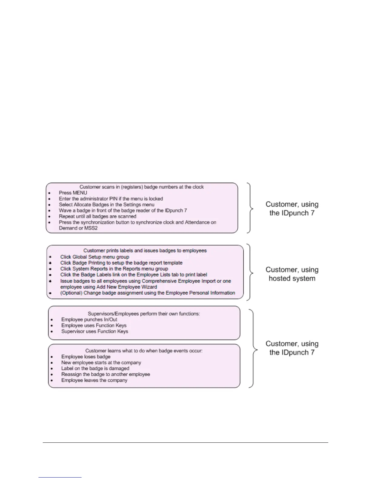
IDpunch 7 Finger Reader Lifecycle
Several steps are required to use the IDpunch 7 Finger Reader. Understanding the steps helps you to have
a great experience with the clock.
Customer Steps
You must complete some steps before supervisors and employees can use the clock. Several videos and
this end user manual are provided to assist you.
If using card reader …

Table of Contents