EasyManua.ls Logo

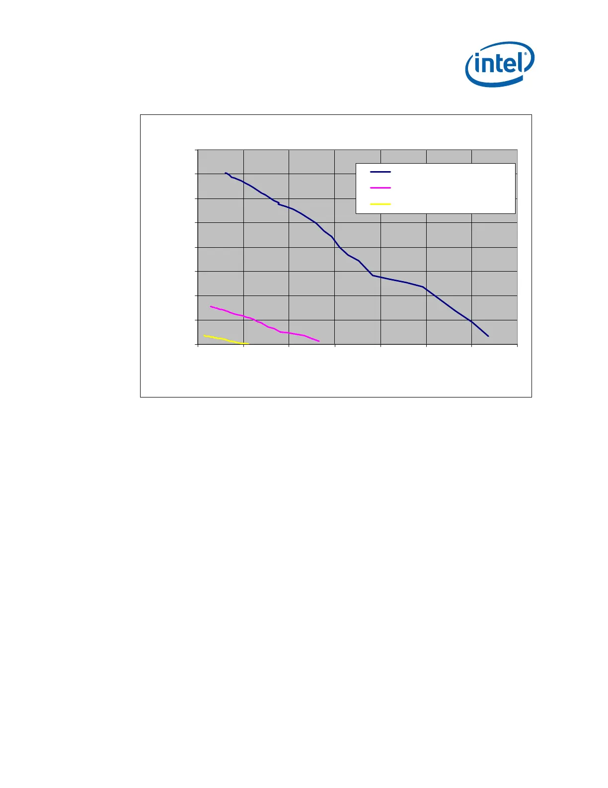
Intel E2180 - Pentium Dual-Core 2.00GHz 800MHz 1MB Socket 775 CPU - Voltage Regulator Thermal Management; Figure 5-1. Effective TMA Fan Curves with Reference Extrusion

Intel E2180 - Pentium Dual-Core 2.00GHz 800MHz 1MB Socket 775 CPU
148 pages
To Next Page IconTo Next Page
To Next Page IconTo Next Page
To Previous Page IconTo Previous Page
To Previous Page IconTo Previous Page
Loading...
Balanced Technology Extended (BTX) Thermal/Mechanical Design Information
Thermal and Mechanical Design Guidelines 45
Figure 5-1. Effective TMA Fan Curves with Reference Extrusion
0.000
0.050
0.100
0.150
0.200
0.250
0.300
0.350
0.400
0.0 5.0 10.0 15.0 20.0 25.0 30.0 35.0
Airflow (cfm)
dP (in. H2O)
Reference TMA @ 5300 RPM
Reference TMA @ 2500 RPM
Reference TMA @ 1200 RPM
5.1.4 Voltage Regulator Thermal Management
The BTX TMA is integral to the cooling of the processor voltage regulator (VR). The
reference design TMA will include a flow partitioning device to ensure an appropriate
airflow balance between the TMA and the VR. In validation the need for this
component will be evaluated.
The BTX thermal management strategy relies on the Thermal Module to provide
effective cooling for the voltage regulator (VR) chipset and system memory
components on the motherboard. The Thermal Module is required to have features
that allow for airflow to bypass the heatsink and flow over the VR region on both the
primary and secondary sides of the board. The following requirements apply to VR
cooling.

Table of Contents

Related product manuals