EasyManua.ls Logo

Kolver EDU 2AE/TOP/TA - Page 113

Kolver EDU 2AE/TOP/TA
139 pages
Print Icon
To Next Page IconTo Next Page
To Next Page IconTo Next Page
To Previous Page IconTo Previous Page
To Previous Page IconTo Previous Page
Loading...
Vers. 160920
IT
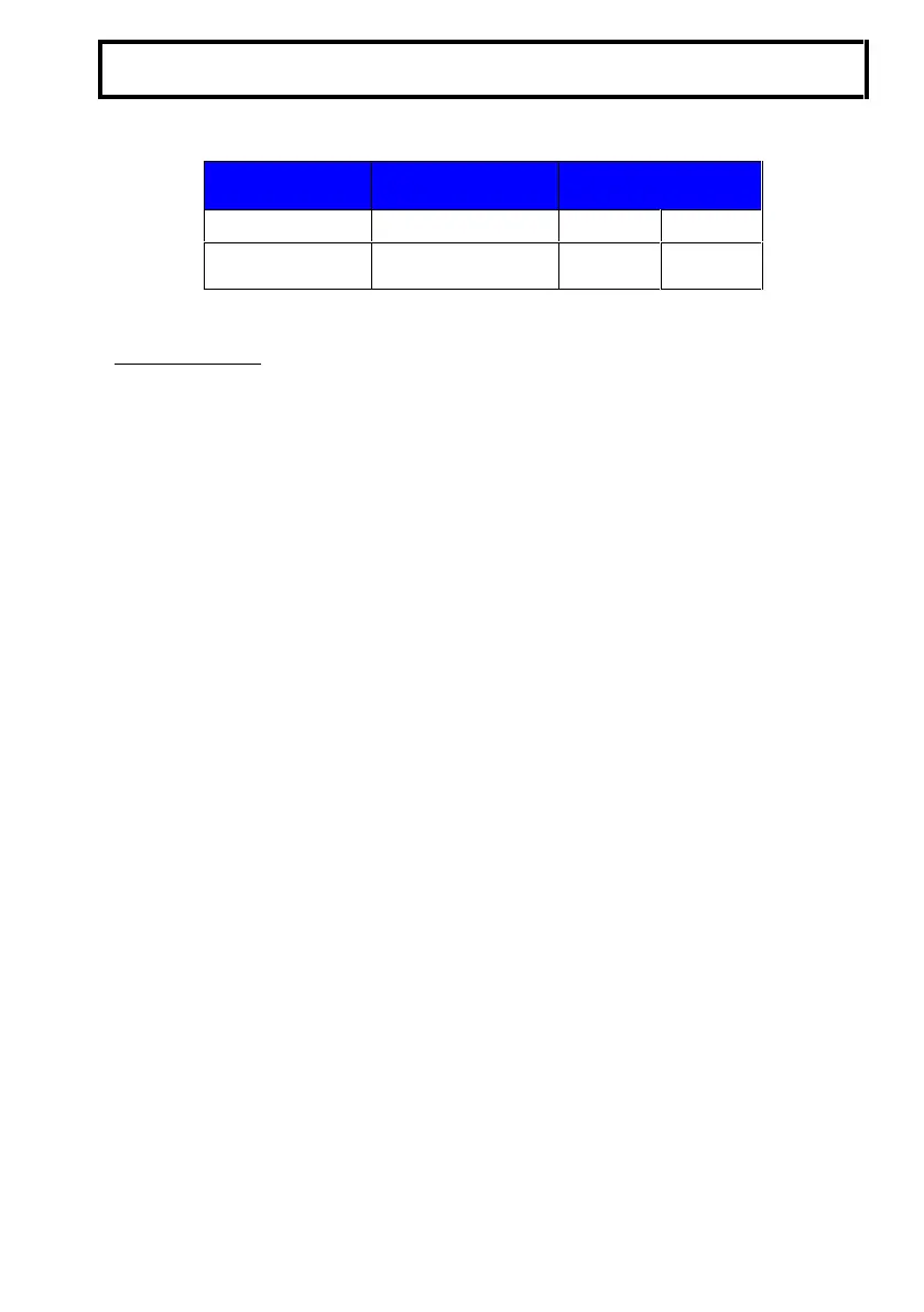
Modello
Coppia Nm
Velocità RPM
Min
Max
MITO15
0,35-1,5
450
850
ATTENZIONE: Prima di qualsiasi utilizzo o intervento sull’avvitatore, verificate
che le informazioni che seguono e le istruzioni contenute nella guida di sicurezza
(Codice articolo: 0MS000) siano state lette, comprese e rispettate. Le
caratteristiche e le descrizioni dei nostri prodotti sono soggette a cambiamenti
senza preavviso da parte nostra.
DICHIARAZIONE DI UTILIZZO
Avvitatore (classe I) adeguato solamente all’ambiente di natura industriale. Deve
essere utilizzato solo per il serraggio. Non è permesso nessun altro utilizzo.
Riservato ad un uso professionale.
DATI
Livello di rumore: <70 dB (A)
Livello di vibrazione: <2,5 m/s²
Livello di rumore ed emissione di vibrazioni dichiarati
Questi valori sono misurati da un laboratorio di collaudo in conformità alle norme
in vigore, ma in nessun caso possono essere utilizzati per la valutazione dei rischi. I
valori risultanti durante l’utilizzo possono essere pelevati dei valori dichiarati. I
valori reali di esposizione ed i danni fisici risultanti dall’esposizione alle vibrazioni
sono specifici e dipendono dal modo in cui l’utente lavora, dal pezzo lavorato e
dalla sua forma, come anche dal tempo di esposizione e dalle capacità fisiche
dell’utente. KOLVER non può essere tenuta responsabile dei danni causati dai
livelli reali più elevati rispetto a quelli dichiarati, non avendo essa stessa nessun
controllo sull’utilizzazione delle macchine.
MODO D’USO
L’avvitatore può essere manuale oppure come mandrino fisso su una macchina.
IMPORTANTE: E' sconsigliato l'uso continuo oltre l'80% del campo di coppia!

Related product manuals