EasyManua.ls Logo

LG MCD112 - Micom Part Check II

LG MCD112
65 pages
Print Icon
To Next Page IconTo Next Page
To Next Page IconTo Next Page
To Previous Page IconTo Previous Page
To Previous Page IconTo Previous Page
Loading...
3-3
Copyright © 2009 LG Electronics. Inc. All right reserved.
Only for training and service purposes
LGE Internal Use Only
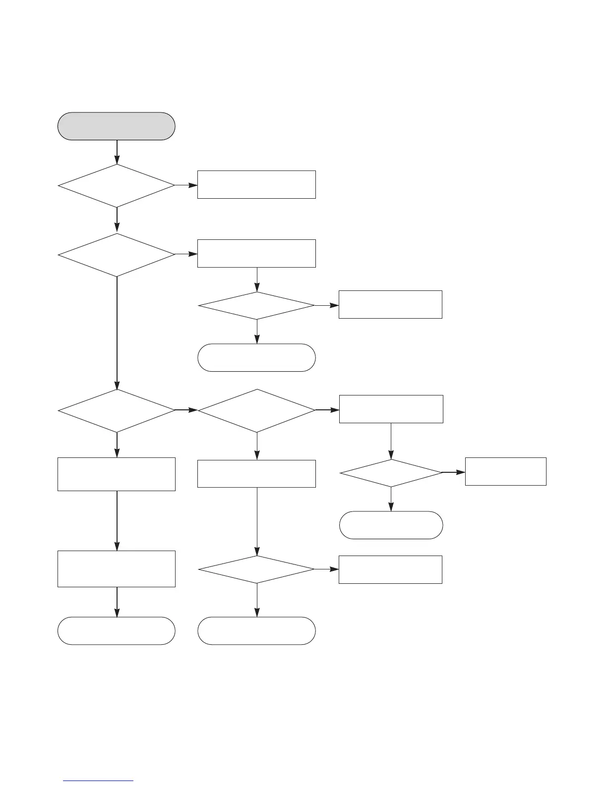
5. MICOM PART CHECK II
MICOM part check II
X101 : 32.768kHz
X100 : 9.8304MHz
Check the operation.
Check
Q101_ emitter/collector
5V.
Check Q102_base
0.6V HIGH.
Check if IC103_PIN8 and
IC100_PIN19, 20, 59 are 5V.
NO NO
YES
YES
Check if
voltage of P7904_PIN5
is 5.6V.
NO
Refer to
SMPS troubleshooting.
YES
YES
YES
OK
YES
Check
both end voltage of
D101
YES
YES
Check D101.
NO
Check if output of
D101(1SR35) is 5V.
YES
YES
YES
YES
Check IC101.
Q102_collector 0.6V LOW.
OK
Check if output of IC101
(KIA7042) is over 4.3V.
OK
NO
Replace IC101.
NO
Replace D101.
YES
Check Q102.
OK
NO
Replace Q102.

Table of Contents

Related product manuals