EasyManua.ls Logo

LG MCD112 - Tape Play Part Check

LG MCD112
65 pages
Print Icon
To Next Page IconTo Next Page
To Next Page IconTo Next Page
To Previous Page IconTo Previous Page
To Previous Page IconTo Previous Page
Loading...
3-11
Copyright © 2009 LG Electronics. Inc. All right reserved.
Only for training and service purposes
LGE Internal Use Only
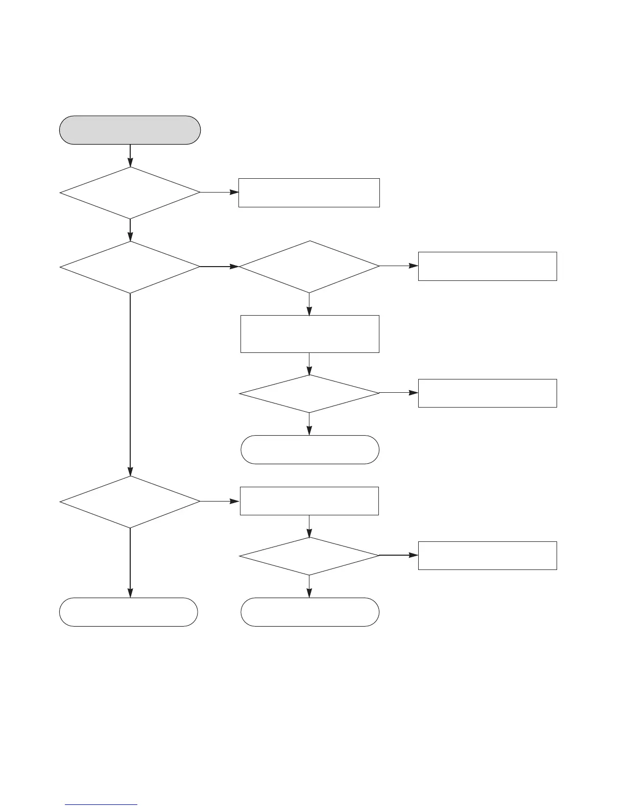
13. TAPE PLAY PART CHECK
TAPE PALY part check
Replace head wire and tape
deck mechanism.
NO
NO
YES
YES
Check A deck head input
IC201_PIN32, 39 and B deck
head input IC201_PIN34, 37.
YES
YES
YES
YES
Check IC201_
PIN5, 26 signal
output.
Check
IC201(HA12237)_PIN16
12V input.
Check A/B
deck head input.
NO
Refer to
SMPS troubleshooting.
Check IC202_PIN10 "HIGH"
NO
Check IC201_PIN14
mute operation.
Replace IC201.
NO
YES
OK
Check IC201
YES
Replace IC202.
NO
YES
OKOK
Check IC202.

Table of Contents

Related product manuals