EasyManua.ls Logo

LG MCD112 - Tape Rec Part Check

LG MCD112
65 pages
Print Icon
To Next Page IconTo Next Page
To Next Page IconTo Next Page
To Previous Page IconTo Previous Page
To Previous Page IconTo Previous Page
Loading...
3-12
Copyright © 2009 LG Electronics. Inc. All right reserved.
Only for training and service purposes
LGE Internal Use Only
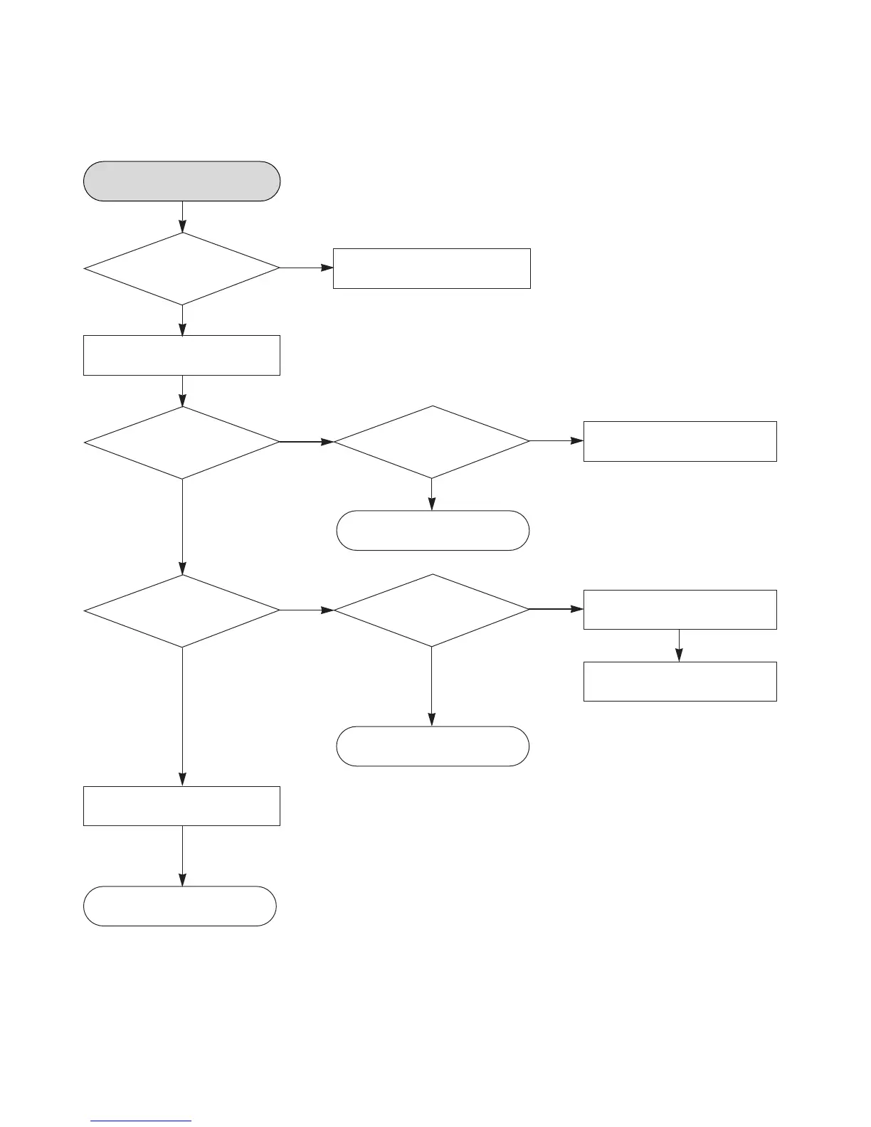
14. TAPE REC PART CHECK
TAPE REC part check
Check IC100_PIN23 "HIGH"
NO
NO
YES
YES
Check IC201_
PIN7, 24 record input.
Check P2203_PIN5, 3 input
and PIN8 erase input.
YES
YES
YES
YES
YES
Check L203_PIN2, 3
oscillation.
Check
IC604(PS9829)_PIN49, 52
PWM output.
Check Q205(D1304)_
base "HIGH".
Replace IC201.
NO
NO
Check IC201_
PIN10, 21 output.
Check IC100_PIN23
"HIGH"
NO
Refer to PWM
modulation troubleshooting.
OK
YES
Replace IC202.
YES
OK
OK

Table of Contents

Related product manuals