EasyManua.ls Logo

MACROMEDIA DIRECTOR MX 2004-USING DIRECTOR - Setting palette cast member properties

MACROMEDIA DIRECTOR MX 2004-USING DIRECTOR
500 pages
Print Icon
To Next Page IconTo Next Page
To Next Page IconTo Next Page
To Previous Page IconTo Previous Page
To Previous Page IconTo Previous Page
Loading...
Setting palette cast member properties 155
To solve color palette problems, follow these guidelines:
To avoid color problems in movies for the web, map all 8-bit bitmaps in your movie to the
Web216 color palette that is built in to Director. This is essentially the same palette used by
Netscape Navigator and Microsoft Internet Explorer.
Do not attempt to change palettes while a movie is playing in the browser. The browser, not
the Director movie, controls the palette. Browsers ignore all palette channel settings.
Make sure all the 8-bit images that are on the Stage at the same time refer to the same palette.
If bitmaps are not dithering or remapping to the current palette, make sure that the Remap
Palettes If Needed option on the Movie tab of the Property inspector is selected.
Make sure there are no palette changes in the palette channel of which you are unaware. For
example, when a cast member you are placing on the Stage has a palette different from the
currently active palette, Director adds the new palette to the palette channel. If you dont
realize that this has happened, you might find the palette changing unexpectedly when the
movie plays.
For disk-based movies, simplify your work and avoid frequent palette changes by mapping all
the images in your movie to as few palettes as possible.
Remap existing cast members to a new color palette using the Modify > Transform Bitmap
command.
If the Import option for Palette in the Image Options dialog box is not available while you are
importing an image, the images palette might not meet standard system requirements.
Note: Use an image editor to make sure the images palette meets the following requirements: The
palette must contain exactly 16 or 256 colors. The first and last colors in the palette must be black
or white, and there must be only one black and one white in the entire palette.
Dont change colors that are used by your system software for interface elements. In Windows,
these colors always appear as the first ten and the last ten colors in the palette.
Setting palette cast member properties
When you create a color palette in the Color Palettes window or import a bitmap with its own
palette, the palette appears in a cast as an ordinary cast member. You use cast member properties
to name the palette and to specify how it is unloaded from memory.
To create a color palette as a cast member:
1 If the Cast window is not already open, select Window > Cast.
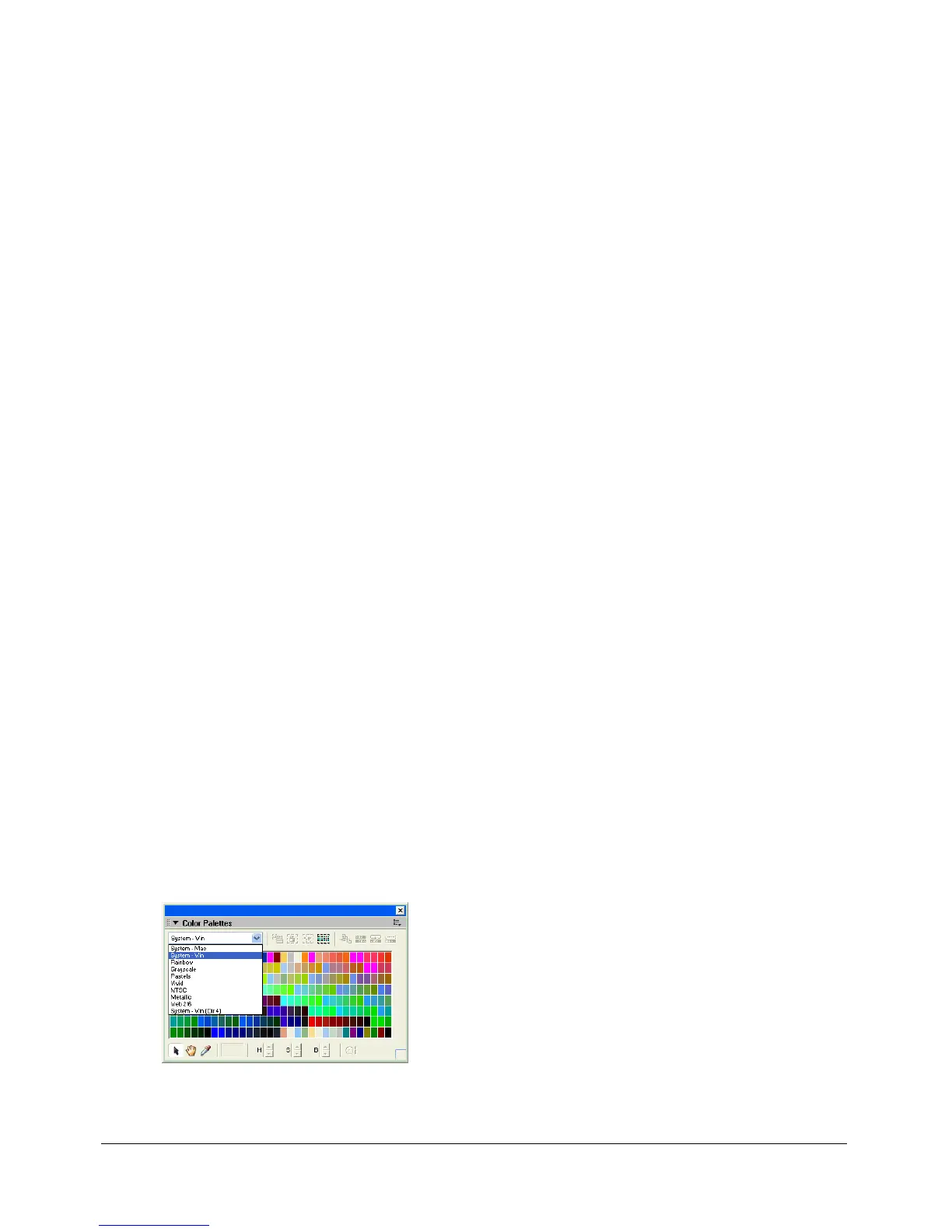
2 Select Window > Color Palettes.
The Color Palettes window appears.

Table of Contents

Related product manuals