EasyManua.ls Logo

Mio DigiWalker C310 - Page 25

Mio DigiWalker C310
88 pages
Print Icon
To Next Page IconTo Next Page
To Next Page IconTo Next Page
To Previous Page IconTo Previous Page
To Previous Page IconTo Previous Page
Loading...
25
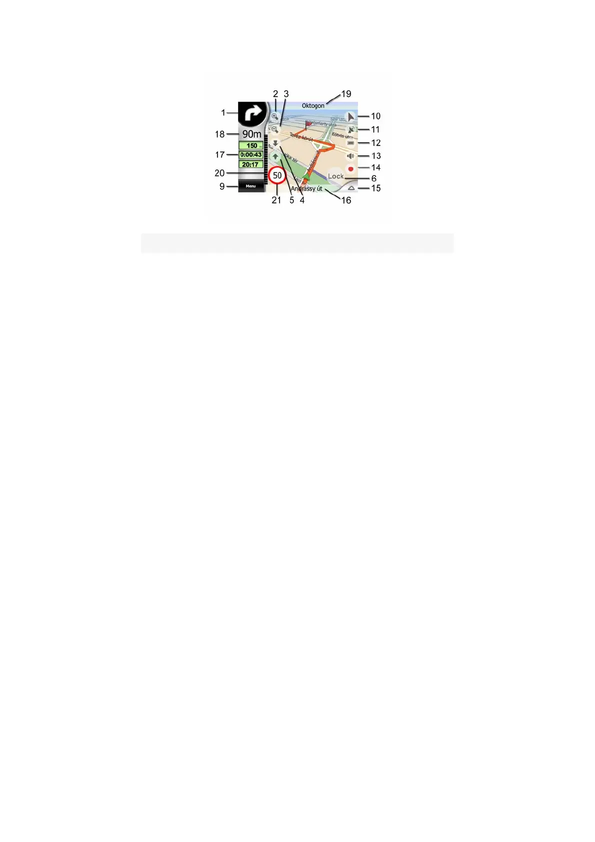
No. Display Control
1 (Cockpit only) Turn preview* Opens Route menu*
2 n/a Zooms in (optional)
3 n/a Zooms out (optional)
4 n/a Tilts down (optional)
5 n/a Tilts up (optional)
6
Indicates that Lock to GPS
position and heading is inactive
Re-enables Lock-to-
Position / Smart Zoom
7 Selected map point (Cursor)
Opens Popup Info and
Cursor menu
8 (Map only) Map scale
Zooms in/out by
dragging
9 n/a
Menu (Find, Quick,
Route, Main)
10 Map orientation and Overview
Switches North-up,
Track-up and Overview
11 GPS position quality
Opens GPS Data
screen
12 Battery status Opens settings
13 Sound on or muted
Enables/disables
muting
14 Track Log recording or playback
Opens Track Logs
screen
15 n/a Opens Cursor menu
16 (Cockpit only) Current street
Opens Route
Information screen
17
(Cockpit only) Travel and Route
data**
Opens Route
Information screen
18
(Cockpit only) Distance to next
turn***
n/a
19 (Cockpit only) Next street*** n/a
20 (Cockpit only) Approaching next n/a

Table of Contents

Other manuals for Mio DigiWalker C310

Related product manuals