EasyManua.ls Logo

Motorola APX 1000 - Page 114

Motorola APX 1000
1096 pages
To Next Page IconTo Next Page
To Next Page IconTo Next Page
To Previous Page IconTo Previous Page
To Previous Page IconTo Previous Page
Loading...
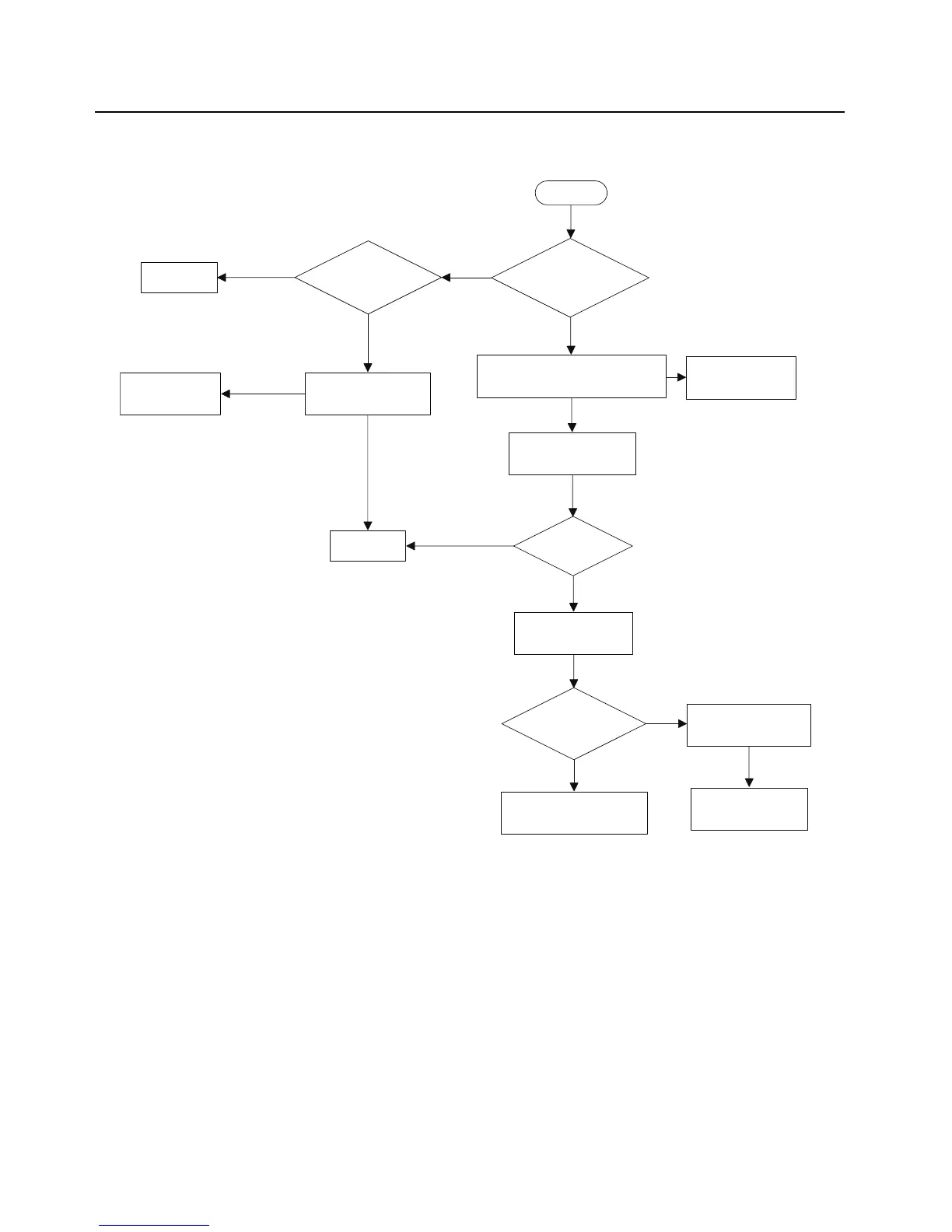
5-16 Troubleshooting Charts: DC Supply Failure
DC Supply 3.6 Volt Failure
V_SW_5
Is fuse intact
(not blown)?
Replace Fuse
Verify UNSW_B+ at
test point: F_UNSW_B+
Is connectors from J2301 to
display connector shorted or damage?
Verify L200, C202
and C203 is good
Replace board with
damaged connector.
Verify SW_B+
at C6524
Is 6 < V < 9
Verify Q6501
Check U6504 circuitry.
Enable input
present?
Check U6508 loading
V_SW_3.60
MAKO damaged. Replace
MAKO
Is radio current
>100mA
Check U201 is loading
V_SW_3.60
Yes
Yes
Yes
Yes
Yes
Yes
No
No
No
No
No
No

Table of Contents

Other manuals for Motorola APX 1000

Related product manuals