EasyManua.ls Logo

NAD 512 - PLL Adjustment; RF Adjustment; EF Balance Adjustment; Focus Gain Adjustment

NAD 512
28 pages
Print Icon
To Next Page IconTo Next Page
To Next Page IconTo Next Page
To Previous Page IconTo Previous Page
To Previous Page IconTo Previous Page
Loading...
Step
A:
PLL
Adjustment
(1)
Turn
power
ON
and
press
the
STOP
key.
(2)
Short
circuit
P108
(ASSY)
to
P107
(GND).
(3)
Connect
the
frequency
counter
to
P106
(CLK)
and
P107
(GND).
(4)
Adjust
RV101
for
a
reading
of
4.2318
+/-
0.01
MHz.
(5)
After
this
adjustment
is
completed
remove
the
short
circuit
between
P108
and
P107.
Step
B:
RF
Adjustment
(1)
Load
the
test
disc
and
set
the
unit
into
PLAY
mode.
(2)
Connect
the
scope
to
P109
(RF)
and
P107
(GND).
Scope
setting:
Coupling
:
AC.
Vertical
sensitivity
:
0.2
V/div.
Horizontal
time
base
:
0.5
uS/div.
(3)
Adjust
RV102
so
that
the
3T
component
of
the
waveform
is
maximum
and
the
eye
pattern
is
at
its
best
shape
(see
Fig.
2).
Step
C:
EF
Balance
adjustment
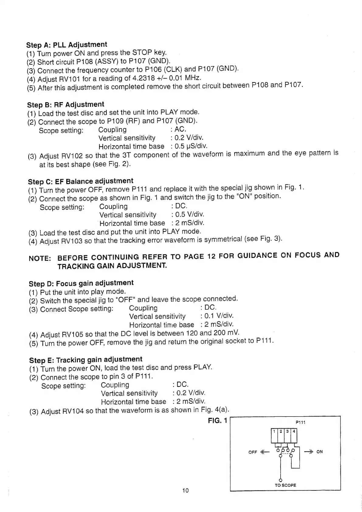
(1)
Turn
the
power
OFF,
remove
P111
and
replace
it
with
the
special
jig
shown
in
Fig.
1.
(2)
Connect
the
scope
as
shown
in
Fig.
1
and
switch
the
jig
to
the
"ON"
position.
Scope
setting:
Coupling
Z.DC.
Vertical
sensitivity
:
0.5
V/div.
Horizontal
time
base
:
2
mS/div.
(3)
Load
the
test
disc
and
put
the
unit
into
PLAY
mode.
(4)
Adjust
RV103
so
that
the
tracking
error
waveform
is
symmetrical
(see
Fig.
3).
NOTE:
BEFORE
CONTINUING
REFER
TO
PAGE
12
FOR
GUIDANCE
ON
FOCUS
AND
TRACKING
GAIN
ADJUSTMENT.
Step
D:
Focus
gain
adjustment
(1)
Put
the
unit
into
play
mode.
(2)
Switch
the
special
jig
to
"OFF"
and
leave
the
scope
connected.
(3)
Connect
Scope
setting:
Coupling
ca
BIG
Vertical
sensitivity
:
0.1
V/div.
Horizontal
time
base
:
2
mS/div.
(4)
Adjust
RV105
so
that
the
DC
level
is
between
120
and
200
mV.
(5)
Turn
the
power
OFF,
remove
the
jig
and
return
the
original
socket
to
P111.
Step
E:
Tracking
gain
adjustment
(1)
Turn
the
power
ON,
load
the
test
disc
and
press
PLAY.
(2)
Connect
the
scope
to
pin
3
of
P111.
Scope
setting:
Coupling
:
DC.
Vertical
sensitivity
:
0.2
V/div.
Horizontal
time
base
:
2
mS/div.
(3)
Adjust
RV104
so
that
the
waveform
is
as
shown
in
Fig.
4(a).
FIG.
1
O
TO
SCOPE

Other manuals for NAD 512

Related product manuals