EasyManua.ls Logo

Nautilus E514 - Heart Rate; Contact Heart Rate Sensors

Nautilus E514
84 pages
Print Icon
To Next Page IconTo Next Page
To Next Page IconTo Next Page
To Previous Page IconTo Previous Page
To Previous Page IconTo Previous Page
Loading...
Note:
Aswithallexercisesandfitnessregimens,alwaysuseyourbestjudgmentwhenyouincreaseyour
exercisetimeorintensity.
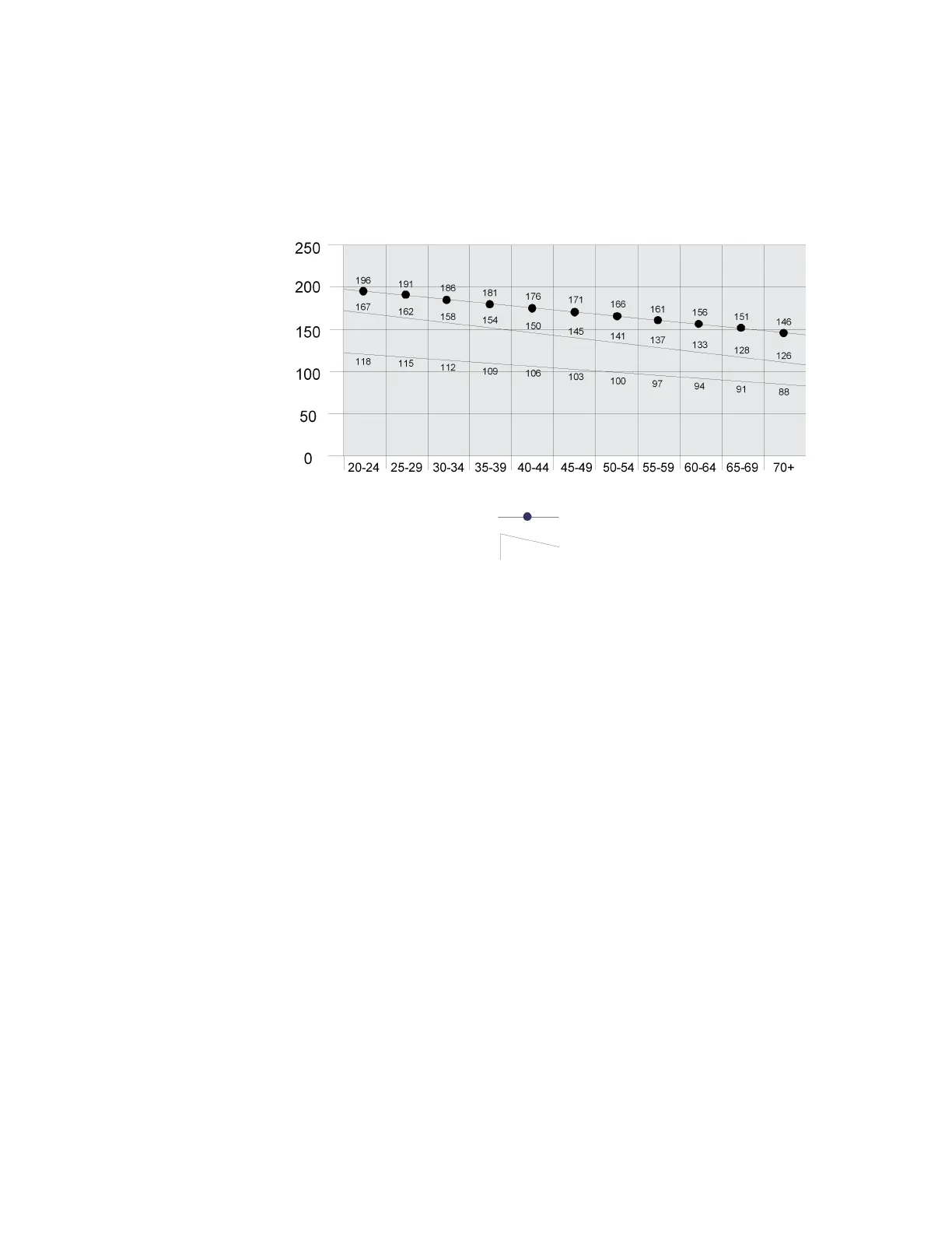
FatBurningTargetHeartRate
HeartRate
BPM(beats
perminute)
Age
MaximumHeartRate
TargetHeartRateZone(keep
withinthisrangeforoptimumfat
burning)
ContactHeartRateSensors
ContactHeartRate(CHR)sensorssendyourheartratesignalstotheConsole.TheCHRsensorsarethestainlesssteelpartsofthe
Handlebars.Touse,putyourhandscomfortablyaroundthesensors.Besurethatyourhandstouchboththetopandthebottomof
thesensors.Holdfirm,butnottootightorloose.BothhandsmustmakecontactwiththesensorsfortheConsoletodetectapulse.
AftertheConsoledetectsfourstablepulsesignals,yourinitialpulseratewillbeshown.
OncetheConsolehasyourinitialheartrate,donotmoveorshiftyourhandsfor10to15seconds.TheConsolewillnowvalidatethe
heartrate.Manyfactorsinfluencetheabilityofthesensorstodetectyourheartratesignal:
Movementoftheupperbodymuscles(includingarms)producesanelectricalsignal(muscleartifact)thatcaninterferewith
pulsedetection.Slighthandmovementwhileincontactwiththesensorscanalsoproduceinterference.
Callusesandhandlotionmayactasaninsulatinglayertoreducethesignalstrength.
SomeElectrocardiogram(EKG)signalsgeneratedbyindividualsarenotstrongenoughtobedetectedbythesensors.
CHRdetectionmaybelimitedtowalkingorslowjoggingduetotheextrememuscleartifactsandhandmotiongeneratedbya
comfortablerunningstyle.Ifyourheartratesignaleverseemserraticaftervalidation,wipeoffyourhandsandthesensors
andtryagain.
33 33
33

Related product manuals