EasyManua.ls Logo

NTI TRX199C - Internal Circulation Pump

Default Icon
100 pages
Print Icon
To Next Page IconTo Next Page
To Next Page IconTo Next Page
To Previous Page IconTo Previous Page
To Previous Page IconTo Previous Page
Loading...
23
Part 1 - General Safety Information
Part 4 - Water Piping
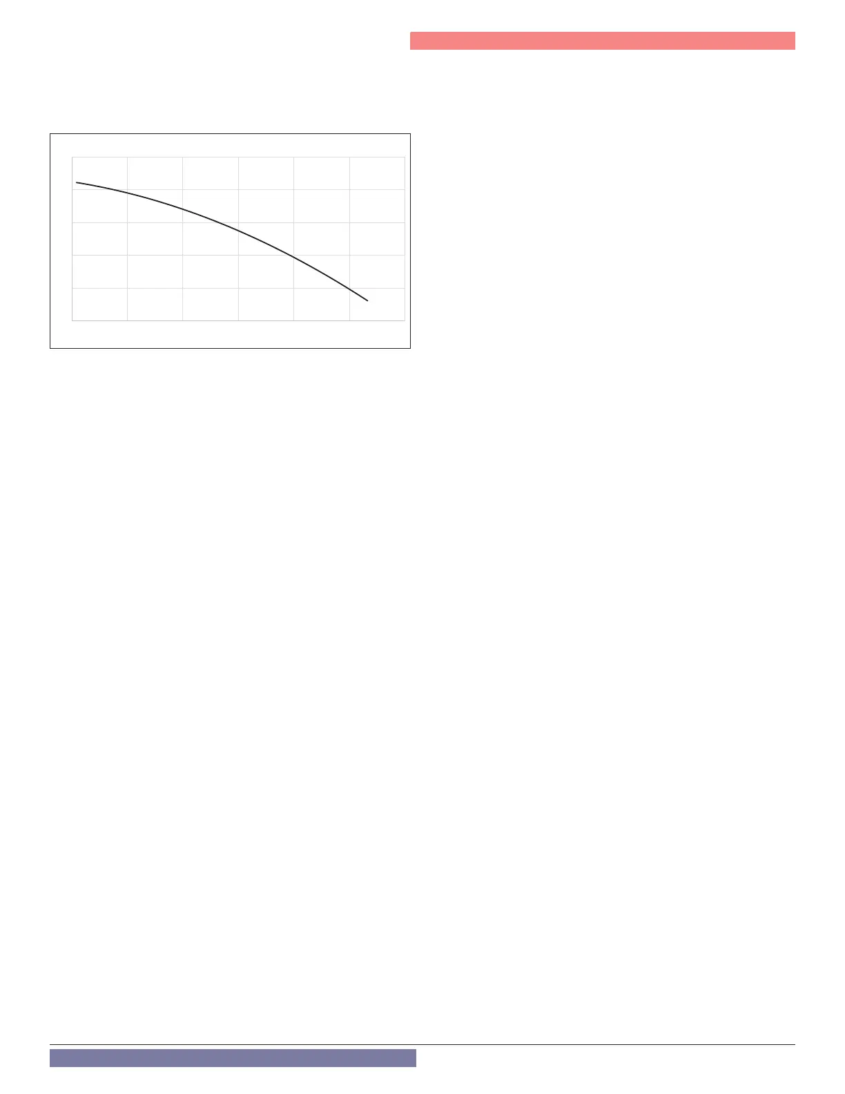
E. Internal Circulation Pump
To calculate the size of the heating installation refer to the graph below.
Table 11 - Internal Circulation Head Curve
Graph Representing the Available Circulation Pump Head
0
5
10
15
20
25
0 2 4 6 8 10 12
Head [�]
Flow Rate [US GPM]
Available Head vs. Flow Rate

Table of Contents

Other manuals for NTI TRX199C

Related product manuals