EasyManua.ls Logo

Omron LD - Page 41

Omron LD
55 pages
Print Icon
To Next Page IconTo Next Page
To Next Page IconTo Next Page
To Previous Page IconTo Previous Page
To Previous Page IconTo Previous Page
Loading...
23180-000 Rev A Mobile Robot LD, LD-CT Assembly Instructions 41
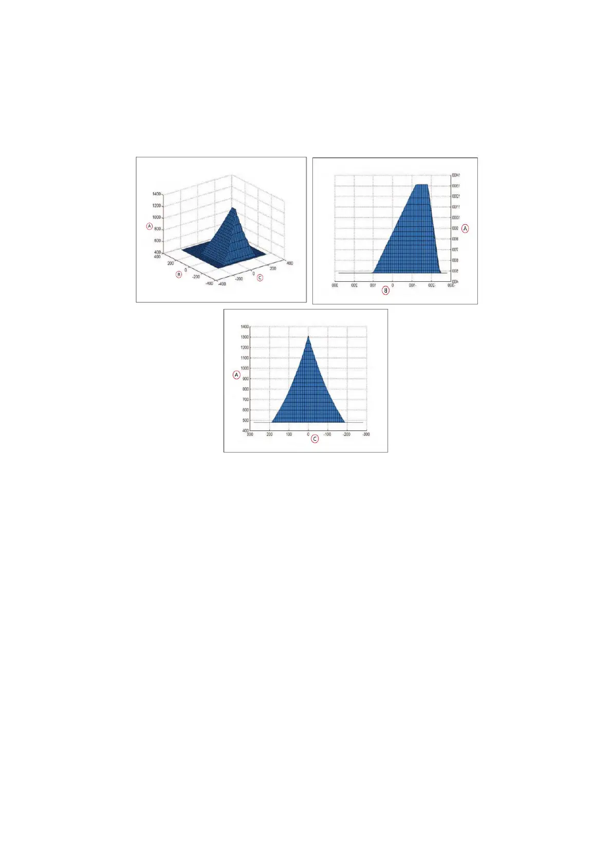
105 kg
Figure 13: Center of Gravity Graphs, 105 kg

Other manuals for Omron LD

Related product manuals