EasyManua.ls Logo

Panasonic KX-TG2360JX

Panasonic KX-TG2360JX
109 pages
To Next Page IconTo Next Page
To Next Page IconTo Next Page
To Previous Page IconTo Previous Page
To Previous Page IconTo Previous Page
Loading...
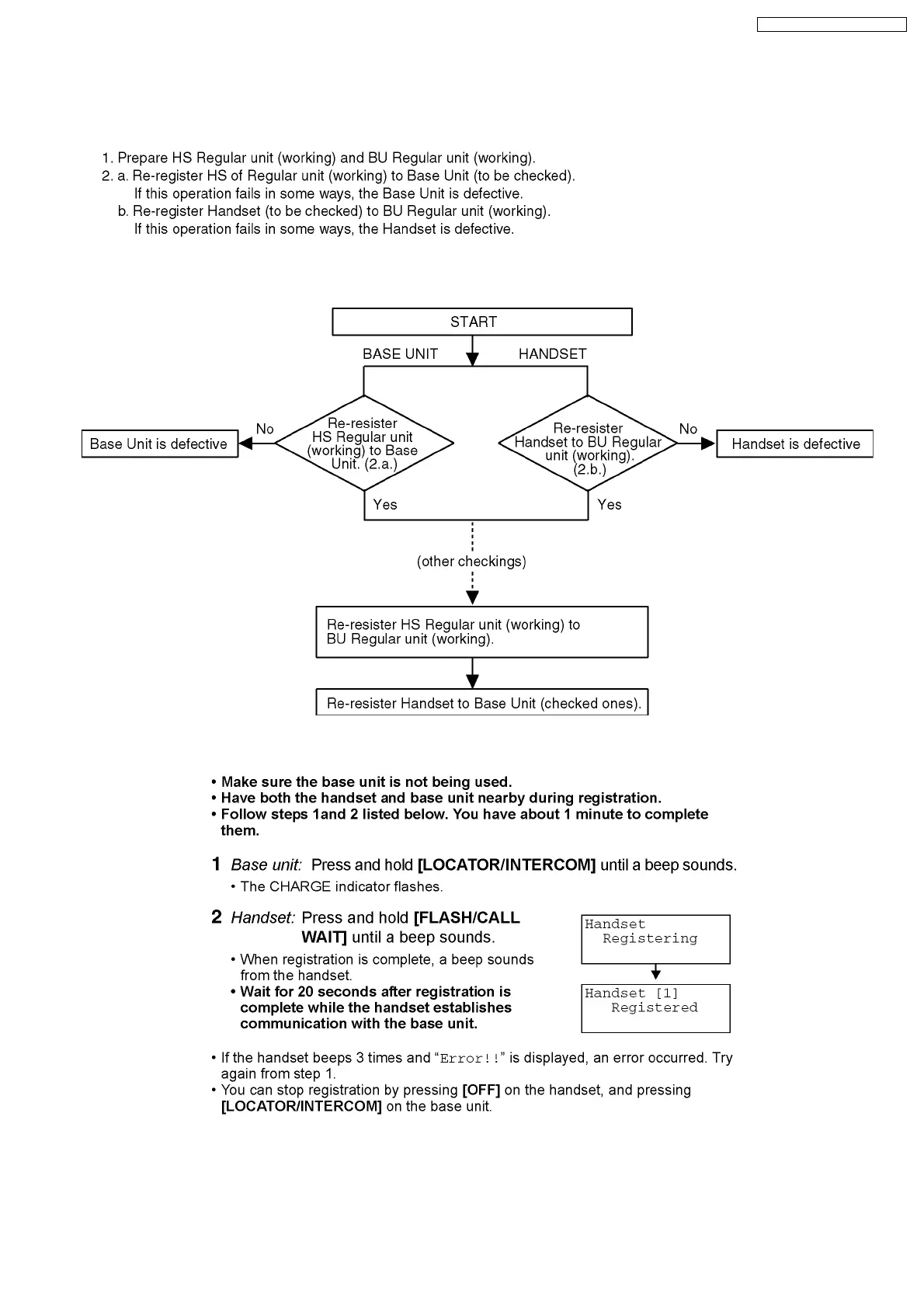
12.9. Check the RF Part
12.9.1. Finding Out the Defective Part
After All the Checkings or Repairing
Re-register Handset (to be checked) to Base Unit (to be checked) and HS to BU Regular unit (working).
12.9.1.1. Re-registering a Handset
49
KX-TG2360JXS / KX-TGA236JXS

Table of Contents

Related product manuals