EasyManua.ls Logo

Parker P1F - Guide for Selecting Tubing; Tubing Selection Prerequisites; Tubing Selection Chart

Parker P1F
32 pages
Print Icon
To Next Page IconTo Next Page
To Next Page IconTo Next Page
To Previous Page IconTo Previous Page
To Previous Page IconTo Previous Page
Loading...
Parker Hannifin Corporation
Pneumatic Division
Richland, Michigan
www.parker.com/pneumatics
8
For inventory, lead times, and kit
lookup, visit www.pdnplu.com
Tie Rod and Prole Pneumatic Cylinders
P1F Series
Catalog 0980
Technical Data
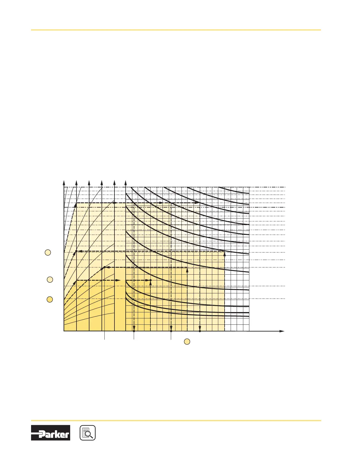
The chart below is intended to help when selecting the correct size of tube to use between the valve and the cylinder.
The equivalent throttling bore is a long throttle (for example
a tube) or a series of throttles (for example, through a valve)
converted to a short throttle which gives a corresponding flow
rate. This should not be confused with the orifice which is
sometimes specified for valves. The value for the orifice does
not normally take account of the fact that the valve contains
a number of throttles.
Qn is a measure of the valve flow capacity, with flow
measured in liter per minute (l/min) at 6 bar(e) supply
pressure and 1 bar pressure drop across the valve.
Guide for selecting suitable tubing
The selection of the correct size of tubing is often based
on experience, with no great thought to optimizing energy
efficiency and cylinder velocity. This is usually acceptable,
but making a rough calculation can result in worthwhile
economic gains.
The following is the basic principle:
1. The primary line to the working valve could be over sized
(this does not cause any extra air consumption and
consequently does not create any extra costs in operation).
2. The tubes between the valve and the cylinder should,
however, be optimized according to the principle that
an insufficient bore throttles the flow and thus limits the
cylinder speed, while an oversized pipe creates a dead
volume which increases the air consumption and filling time.
The following prerequisites apply
The cylinder load should be about 50 % of the theoretical force
(= normal load). A lower load gives a higher velocity and vice
versa. The tube size is selected as a function of the cylinder
bore, the desired cylinder velocity and the tube length between
the valve and the cylinder. If you want to use the capacity of
the valve to its maximum, and obtain maximum speed, the
tubing should be chosen so that they at least correspond with
the equivalent restriction diameter (see description below),
so that the tubing does not restrict the total flow. This means
that a short tubing must have at least the equivalent restriction
diameter. If the tubing is longer, choose it from the table below.
Straight fittings should be chosen highest flow rates. Rates as
elbow and banjo fittings cause restriction.
Cylinder
Ø [mm]
Equivalent throttling bore
Tube
ØOut./ØInt.
[mm]
Length of tubing [m]
Average speed [m/s]
Air flow
Qn
[Nl/min]
0,2 01
2
3
4
1
2
3
4
5
6
7
8
9
10
11
Ø10
Ø16
Ø20
Ø25
Ø32
Ø40
Ø50
Ø63
Ø80
Ø100
Ø125
Ø160
Ø200
14/11
–/12
–/13
–/14
–/15
–/16
12/10
10/8
8/6
6/4
5/3
4/2, 7
200
400
800
1000
1200
1400
1600
1800
2000
2200
2400
3000
4000
2800
3200
3400
3600
3800
2600
4
3
2
1
0,5
0,8
1,0
1,1
1,4
6
7 8
9 10
5
0,7 3,7
www.comoso.com

Related product manuals