EasyManua.ls Logo

Philips CDR 765 - Page 3

Philips CDR 765
24 pages
Print Icon
To Next Page IconTo Next Page
To Next Page IconTo Next Page
To Previous Page IconTo Previous Page
To Previous Page IconTo Previous Page
Loading...
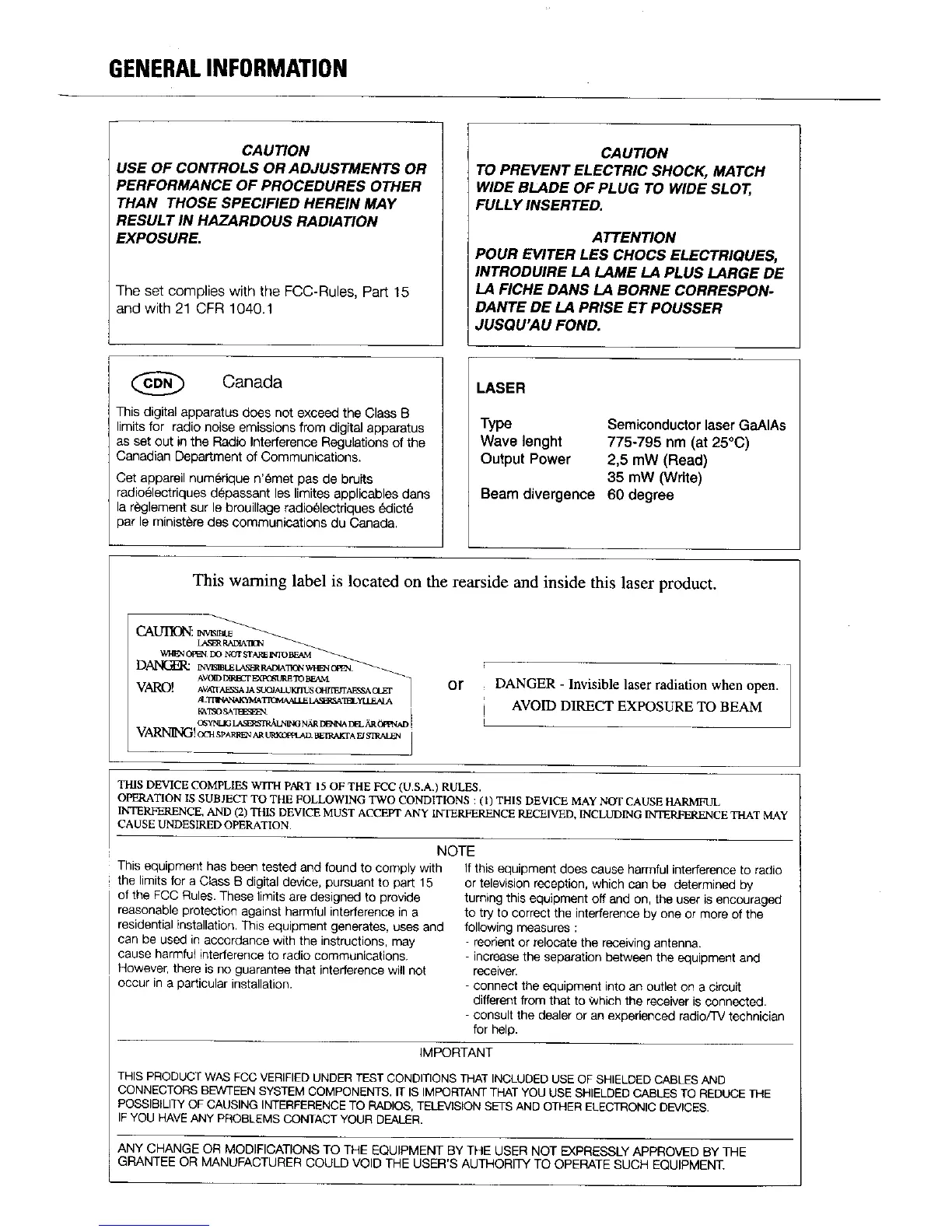
GENERALINFORMATION
CAUTION
USE OF CONTROLS OR ADJUSTMENTS OR
PERFORMANCE OF PROCEDURES OTHER
THAN THOSE SPECIFIED HEREIN MAY
RESULT IN HAZARDOUS RADIATION
EXPOSURE.
The set complies with the FCC-Rules, Part 15
and with 21 CFR 1040.1
CAUTION
TO PREVENT ELECTRIC SHOCK, MATCH
WIDE BLADE OF PLUG TO WIDE SLOT,
FULLY INSERTED.
ATTENTION
POUR EVITER LES CHOCS ELECTRIQUES,
INTRODUIRE LA LAME LA PLUS LARGE DE
LA FICHE DANS LA BORNE CORRESPON-
DANTE DE LA PRISE ET POUSSER
JUSQU'AU FOND.
(:_) Canada
This digital apparatus does not exceed the Class B
limits for radio noise emissions from digital apparatus
as set out in the Radio Interference Regulations of the
Canadian Department of Communications.
Cet appareil numedque n'_met pas de bruits
radioelectriques depassant les limites applicables dans
la rC,glement sur le brouillage radio61ectriques6dict6
par le ministere des communications du Canada.
LASER
Type SemiconductorlaserGaAIAs
Wave lenght 775-795 nm (at 25°C)
Output Power 2,5 mW (Read)
35 mW (Write)
Beam divergence 60 degree
This warning label is located on the rearside and inside this laser product.
VARO! AVarrAESSAJAsucaAta_a_s ommrrAv_,shotgr
_L__ L,_BRSAI_L'dJ.EALA
V_! OCHSpAv.Va__ URKOPPL_B_r_crA FJs'r_aa_ j
or
DANGER - Invisible laser radiation when open.
AVOID DIRECT EXPOSURE TO BEAM
THIS DEVICE COMPLIES WITH PART 15 OF THE FCC (U.S.A.) RULES.
OPERATION IS SUBJECT TO THE FOLLOWING TWO CONDITIONS : (1) THIS DEVICE MAY NOT CAUSE HARMFUL
INTERFERENCE, AND (2) THIS DEVICE MUST ACCEIgr ANY INTERFERENCE RECEIVED, INCLUDING INTERFERENCE THAT MAY
CAUSE UNDESIRED OPERATION.
i NOTE
This equipment has been tested and found to comply with
i the limits for a Class B digital device, pursuant to part 15
of the FCC Rules. These limits are designed to provide
reasonable protection against harmful interference in a
residential installation. This equipment generates, uses and
can be used in accordance with the instructions, may
cause harmful interference to radio communications.
However, there is no guarantee that interference will not
occur in a particular installation.
If this equipment does cause harmful interference to radio
or television reception, which can be determined by
turning this equipment off and on, the user is encouraged
to try to correct the interference by one or more of the
following measures :
- reorient or relocate the receiving antenna.
- increase the separation between the equipment and
receiver.
- connect the equipment into an outlet on a circuit
different from that to which the receiver is connected.
- consult the dealer or an experienced radio/TV technician
for help.
IMPORTANT
THIS PRODUCT WAS FCC VERIFIED UNDER TEST CONDITIONS THAT INCLUDED USE OF SHIELDED CABLES AND
CONNECTORS BEWTEENSYSTEM COMPONENTS. IT IS IMPORTANT THAT YOU USE SHIELDEDCABLES TO REDUCE THE
POSSIBILITYOF CAUSING INTERFERENCE TO RADIOS, TELEVISION SETS AND OTHER ELECTRONIC DEVICES.
IF YOU HAVEANY PROBLEMS CONTACT YOUR DEALER.
ANY CHANGE OR MODIFICATIONS TO THE EQUIPMENT BY THE USER NOT EXPRESSLY APPROVED BY THE
GRANTEE OR MANUFACTURER COULD VOID THE USER'S AUTHORITY TO OPERATE SUCH EQUIPMENT.

Other manuals for Philips CDR 765

Related product manuals