EasyManua.ls Logo

Philips TDA8950 - Page 31

Philips TDA8950
39 pages
Print Icon
To Next Page IconTo Next Page
To Next Page IconTo Next Page
To Previous Page IconTo Previous Page
To Previous Page IconTo Previous Page
Loading...
TDA8950_2 © NXP B.V. 2009. All rights reserved.
Product data sheet Rev. 02 — 11 June 2009 31 of 39
NXP Semiconductors
TDA8950
2 × 150 W class-D power amplifier
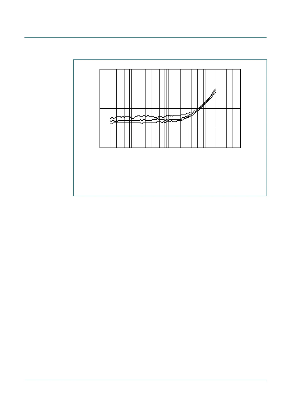
V
P
= ±35 V, f
osc
= 325 kHz, V
i
= 2 V (RMS).
(1) 8 .
(2) 6 .
(3) 4 .
Fig 27. Mute attenuation as a function of frequency
001aai713
f
i
(Hz)
10 10
5
10
4
10
2
10
3
70
80
60
50
α
mute
(dB)
90
(1)
(2)
(3)

Related product manuals