EasyManua.ls Logo

Procon A1M - Deadband Mode Operation

Procon A1M
96 pages
Print Icon
To Next Page IconTo Next Page
To Next Page IconTo Next Page
To Previous Page IconTo Previous Page
To Previous Page IconTo Previous Page
Loading...
4. Dea
d
The deadba
n
4.1. S
e
There are tw
o
changed via
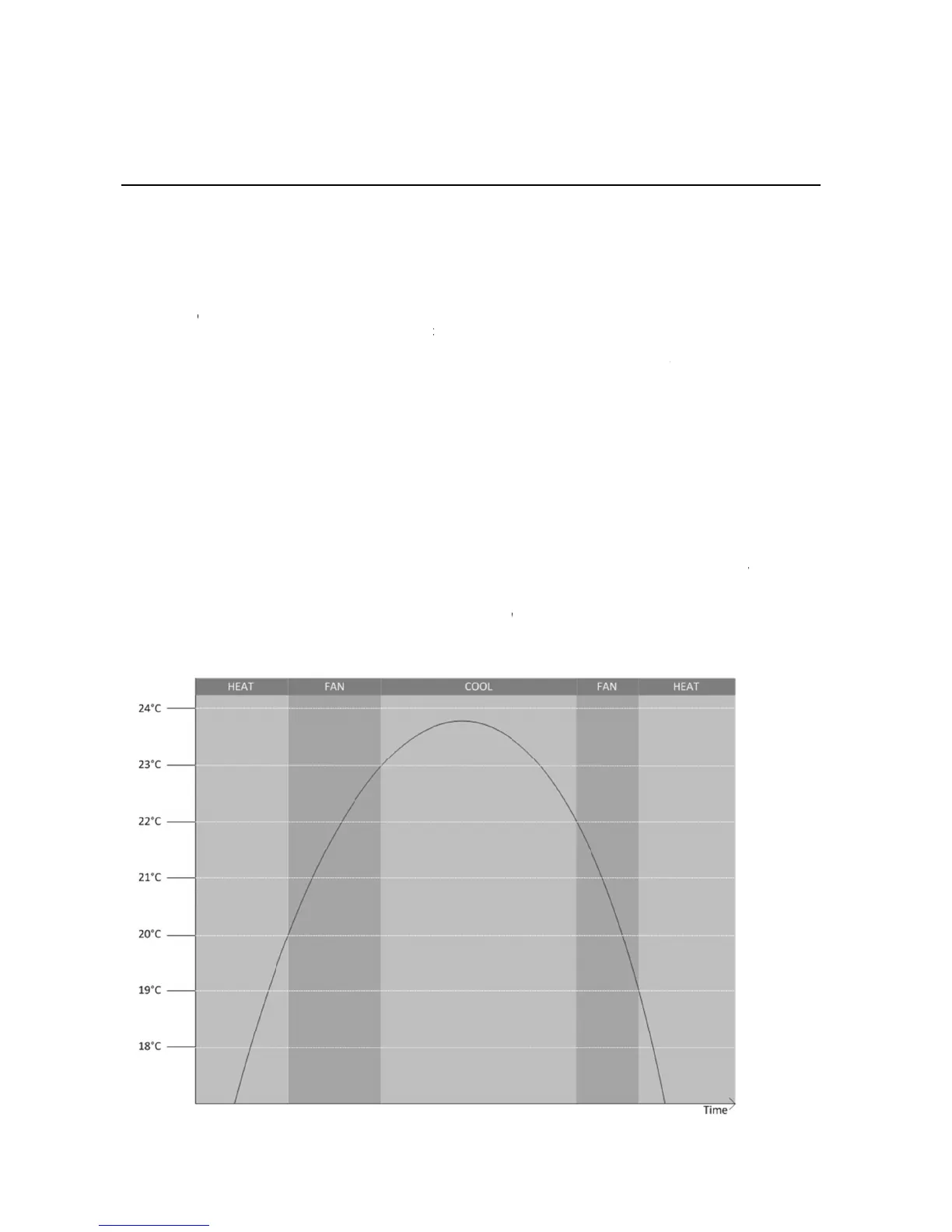
The Cooling
will be assu
m
4.2. O
p
When enabl
e
air) Temper
a
While the ro
o
Whilst in HE
A
Whilst in FA
N
setpoint of 1
9
Whilst in CO
O
Whilst in FA
N
setpoint of 2
8
The followin
g
d
band M
o
n
d mode is en
e
ttings
o
settings, th
e
Modbus, refe
r
Setpoint mus
t
m
ed.
p
eration
e
d, the Melco
B
a
ture.
o
m temperatu
r
A
T mode, if th
N
mode, if the
9
ºC.
O
L mode, if t
h
N
mode, if the
8
ºC.
g
image show
s
o
de
abled by setti
n
e
Heating Set
p
r
to the Air-T
o
t
be at least 2
º
B
EMS MINI (
A
r
e is less tha
n
e room temp
e
temperature
r
h
e room temp
e
room temper
a
s
this graphic
a
n
g DIP switch
p
oint (default
1
-Air Modbus t
º
C greater th
a
A
1M) controls
the Heating
S
e
rature rises
a
r
ises above t
h
e
rature falls b
e
a
ture falls bel
o
a
lly (assumin
g
h
8 ON. It is o
n
1
9º) and Cool
t
ables for mor
e
a
n the Heatin
g
the Mode an
d
S
etpoint the u
a
bove the He
a
h
e Cooling Se
t
e
low the Coo
l
ow
the Heati
n
g
a Heating S
e
n
ly applicable
ing Setpoint (
d
e
information.
g
Setpoint, oth
d
Temperatur
e
nit will be set
a
ting Setpoint
t
poin
t
the unit
l
ing Setpoint
n
g Setpoin
t
th
e
e
tpoint of 19º
C
t
o Air-To-Air t
y
d
efault 23ºC).
erwise the de
f
e
Setpoint ba
s
t
o HEAT mod
+
C
the unit
will be set to
1ºC the unit
w
e
unit will be s
e
C
and a Cooli
n
t
ype units.
These value
s
e
fault values g
s
ed on the Ro
o
e with a setp
o
t
will be set to
COOL mode
w
will be set to
F
et to HEAT m
n
g Setpoint o
f
12
s
can be
iven above
o
m (return
int of 28ºC.
FAN mode.
w
ith a
F
AN mode.
ode with a
23ºC):

Related product manuals