EasyManua.ls Logo

Realistic PRO-2005 - MOVING A FREQUENCY FROM A MONITOR MEMORY TO A CHANNEL

Realistic PRO-2005
34 pages
Print Icon
To Next Page IconTo Next Page
To Next Page IconTo Next Page
To Previous Page IconTo Previous Page
To Previous Page IconTo Previous Page
Loading...
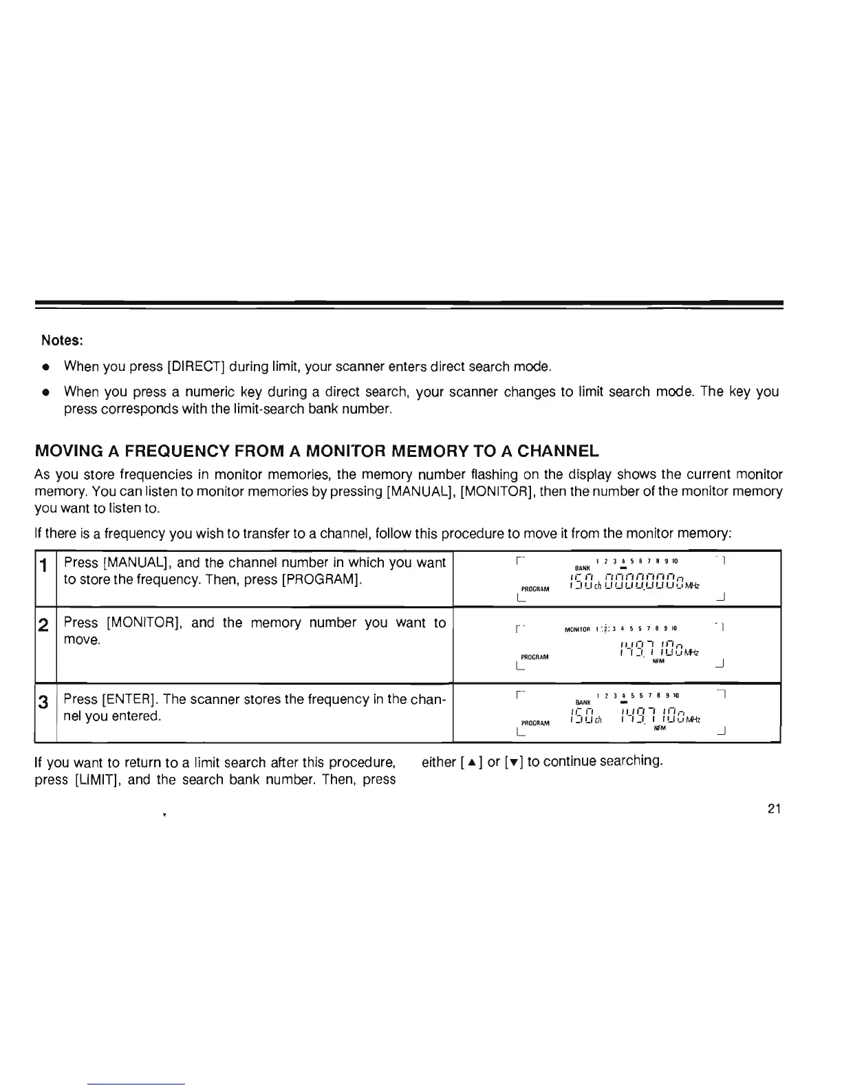
Notes:
When you press [DIRECT] during limit, your scanner enters direct search mode.
When you press a numeric key during a direct search, your scanner changes to limit search mode. The key you
press corresponds with the limit-search bank number.
MOVING A FREQUENCY FROM A MONITOR MEMORY TO A CHANNEL
As
you store frequencies
in
monitor memories, the memory number flashing on the display shows the current monitor
memory. You can listen to monitor memories by pressing [MANUAL], [MONITOR], then the number of the monitor memory
you want to listen to.
If there
is
a frequency you wish
to
transfer to a channel, follow this procedure to move
it
from the monitor memory:
1
Press (MANUAL], and the channel number
in
which you want
I
12345618910
8ANK
to store the frequency. Then, press [PROGRAM].
'e'-'
,-,.-..-..-..-.,-,.-.,-,
PROGRAM
'_'LI
en
UUUU.UUUulMl
L
2
Press (MONITOR], and the memory number you want to
I
MONITOR
1 :?: 3 4 5 6 7 8 9
10
move.
(1)0-'
''-',-,
PROGRAM
I I_I, ,
'UuM-lz
L
NFM
3
Press [ENTER]. The scanner stores the frequency
in
the chan-
I
12345678910
BAN
K
nel
you entered.
,,-
,-,
(1)0-'
''-',-,
PROGRAM
,:,
Ue
h , , _', I ILl u
M1z
L
NfM
If you want to return
to
a limit search after this procedure,
press (LIMIT], and the search bank number. Then, press
either (
...
] or
['f']
to continue searching.
I
~
I
~
I
~
21

Related product manuals